湘阴县人民政府
政府信息公开
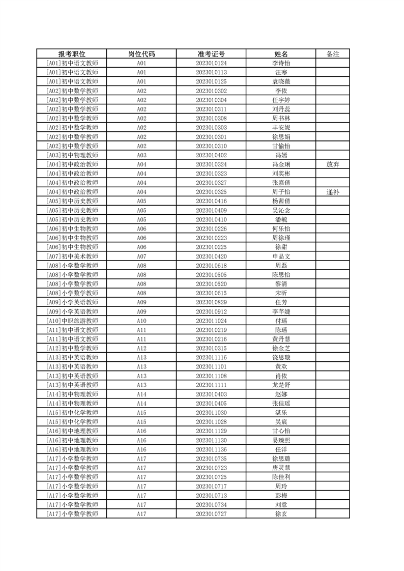
2023年湘阴县教师公开招聘A类岗位录取人员名单
来源: 湘阴县教师招聘领导小组
发布时间: 2023-08-15 08:59
浏览次数:
1