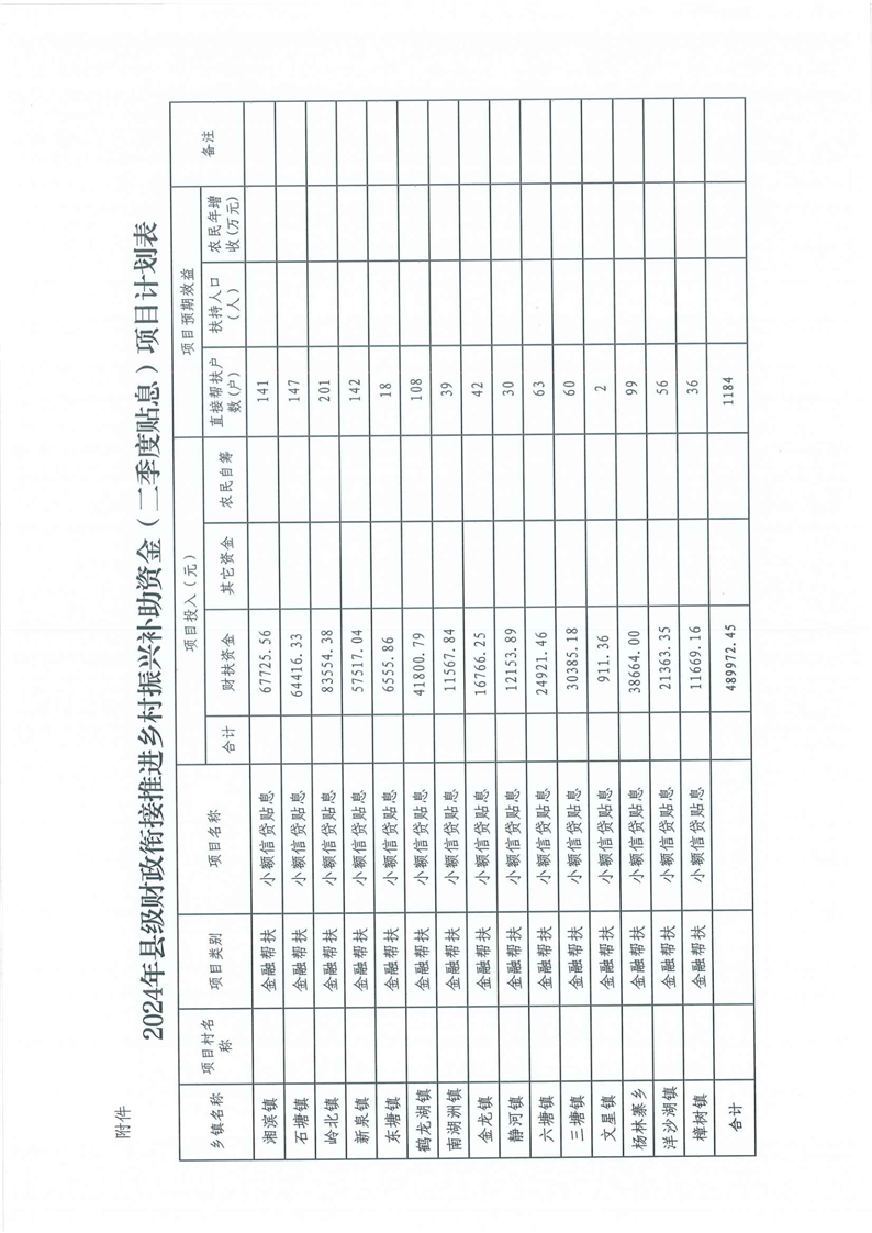
关于下达2024年县级财政衔接推进乡村振兴补助资金(二季度贴息)计划的通知
来源:
湘阴农业农村局
发布时间:
2024-06-28 08:10
浏览次数:
1


| 2024年二季度扶贫贷款贴息明细表 | ||||||||
| 单位:元 | ||||||||
| 序号 | 贫困农户姓名 | 身份证号码 | 贷款金额 | 本金余额 | 借款日期 | 到期日期 | 利息金额 | 明白折账号 |
| 1 | 杨*青 | 430624********4815 | 30,000.00 | 30,000.00 | 2023-06-27 | 2024-06-27 | 275.13 | 810123*******9738 |
| 2 | 常*武 | 430624********481X | 50,000.00 | 50,000.00 | 2023-07-06 | 2024-07-06 | 458.54 | 810123*******9991 |
| 3 | 刘* | 430624********4839 | 50,000.00 | 50,000.00 | 2023-07-07 | 2024-07-07 | 458.54 | 810123*******6860 |
| 4 | 邹* | 430624********4845 | 50,000.00 | 50,000.00 | 2023-07-27 | 2024-07-07 | 458.54 | 810123*******9045 |
| 5 | 杨* | 430624********4835 | 50,000.00 | 50,000.00 | 2023-08-09 | 2024-08-09 | 458.54 | 810123*******3895 |
| 6 | 丰*平 | 430624********4834 | 50,000.00 | 50,000.00 | 2023-08-17 | 2024-08-17 | 458.54 | 810123*******0486 |
| 7 | 陈* | 430624********481X | 10,000.00 | 10,000.00 | 2023-08-29 | 2024-08-29 | 89.13 | 810123*******8636 |
| 8 | 杨*兵 | 430624********4854 | 20,000.00 | 20,000.00 | 2023-09-05 | 2024-09-05 | 178.25 | 810123*******5178 |
| 9 | 杨*文 | 430624********4810 | 50,000.00 | 50,000.00 | 2023-09-20 | 2024-09-20 | 445.63 | 810123*******1322 |
| 10 | 王*祥 | 430624********4836 | 30,000.00 | 30,000.00 | 2023-09-28 | 2024-09-28 | 267.38 | 810123*******1072 |
| 11 | 刘*初 | 430624********4818 | 40,000.00 | 40,000.00 | 2023-10-11 | 2024-10-11 | 356.50 | 810123*******1021 |
| 12 | 熊*清 | 430624********4818 | 40,000.00 | 40,000.00 | 2023-10-19 | 2024-10-19 | 356.50 | 810123*******1060 |
| 13 | 瞿*伟 | 430624********4832 | 20,000.00 | 20,000.00 | 2023-10-26 | 2024-10-26 | 178.25 | 810123*******0157 |
| 14 | 彭*云 | 430624********4813 | 30,000.00 | 30,000.00 | 2023-10-27 | 2024-10-27 | 267.38 | 810123*******9670 |
| 15 | 江*光 | 430624********4839 | 50,000.00 | 50,000.00 | 2024-01-31 | 2025-01-31 | 445.63 | 810123*******5338 |
| 16 | 张* | 430624********4813 | 50,000.00 | 50,000.00 | 2024-04-12 | 2025-04-12 | 340.21 | 810123*******6274 |
| 17 | 杨* | 430624********4815 | 50,000.00 | 50,000.00 | 2024-05-17 | 2025-05-17 | 172.50 | 810123*******6360 |
| 18 | 陈*虎 | 430624********4819 | 50,000.00 | 50,000.00 | 2024-06-05 | 2025-06-05 | 81.46 | 810123*******5010 |
| 19 | 刘*献 | 430624********4818 | 49,000.00 | 49,000.00 | 2023-11-01 | 2025-11-01 | 440.59 | 810123*******0102 |
| 20 | 李*培 | 430624********4834 | 50,000.00 | 50,000.00 | 2023-11-01 | 2025-11-01 | 503.75 | 810123*******1549 |
| 21 | 文* | 430624********4851 | 50,000.00 | 50,000.00 | 2023-11-01 | 2025-11-01 | 503.75 | 810123*******4594 |
| 22 | 李*灿 | 430624********4831 | 50,000.00 | 50,000.00 | 2023-11-02 | 2025-11-02 | 503.75 | 810123*******9910 |
| 23 | 湛*民 | 430624********4835 | 50,000.00 | 50,000.00 | 2023-11-07 | 2025-11-07 | 503.75 | 810123*******1852 |
| 24 | 刘* | 430624********9774 | 50,000.00 | 50,000.00 | 2023-11-15 | 2025-11-15 | 503.75 | 810123*******4080 |
| 25 | 唐*大 | 430624********4818 | 50,000.00 | 50,000.00 | 2023-11-29 | 2025-11-29 | 503.75 | 810123*******5292 |
| 26 | 杨*根 | 430624********483X | 50,000.00 | 50,000.00 | 2023-12-08 | 2025-12-08 | 503.75 | 810123*******0544 |
| 27 | 张*斌 | 430624********4816 | 50,000.00 | 50,000.00 | 2023-12-22 | 2025-12-22 | 503.75 | 810123*******5281 |
| 28 | 刘* | 430624********4859 | 50,000.00 | 50,000.00 | 2023-12-26 | 2025-12-26 | 503.75 | 810123*******9228 |
| 29 | 陈*兵 | 430624********2819 | 32,000.00 | 32,000.00 | 2023-11-13 | 2025-11-13 | 318.83 | 810123*******6089 |
| 30 | 陈*权 | 430624********2818 | 40,000.00 | 40,000.00 | 2024-01-03 | 2026-01-03 | 398.54 | 810123*******5916 |
| 31 | 甘*洲 | 430624********2814 | 28,000.00 | 28,000.00 | 2023-10-29 | 2024-10-29 | 246.78 | 810123*******6294 |
| 32 | 甘* | 430624********2814 | 30,000.00 | 30,000.00 | 2023-10-25 | 2024-10-25 | 264.40 | 810123*******7968 |
| 33 | 蒋*强 | 430624********2811 | 40,000.00 | 40,000.00 | 2023-12-20 | 2025-12-20 | 398.54 | 810123*******5869 |
| 34 | 蒋*祥 | 430624********4618 | 40,000.00 | 40,000.00 | 2023-12-22 | 2025-12-22 | 398.54 | 810123*******4865 |
| 35 | 蒋*军 | 430624********461X | 50,000.00 | 50,000.00 | 2024-02-04 | 2026-02-04 | 498.18 | 810123*******4162 |
| 36 | 蒋*国 | 430624********4618 | 50,000.00 | 50,000.00 | 2023-11-30 | 2025-11-30 | 498.18 | 810123*******7231 |
| 37 | 蒋*国 | 430624********4635 | 50,000.00 | 50,000.00 | 2023-11-17 | 2025-11-17 | 498.18 | 810123*******4322 |
| 38 | 蒋*云 | 430624********467X | 20,000.00 | 20,000.00 | 2023-11-23 | 2025-11-23 | 199.27 | 810123*******3124 |
| 39 | 蒋*波 | 430624********4633 | 50,000.00 | 50,000.00 | 2023-12-08 | 2025-12-08 | 498.18 | 810123*******0695 |
| 40 | 蒋*良 | 430624********2813 | 40,000.00 | 40,000.00 | 2023-11-27 | 2025-11-27 | 398.54 | 810123*******2922 |
| 41 | 蒋*祥 | 430624********463X | 40,000.00 | 40,000.00 | 2023-03-25 | 2024-12-25 | 408.48 | 810123*******1280 |
| 42 | 蒋*新 | 430624********4630 | 30,000.00 | 30,000.00 | 2023-04-28 | 2025-04-28 | 306.36 | 810123*******5495 |
| 43 | 黎*兵 | 430624********461X | 50,000.00 | 50,000.00 | 2023-12-08 | 2025-12-08 | 498.18 | 810123*******4571 |
| 44 | 刘* | 430624********2816 | 50,000.00 | 50,000.00 | 2023-12-01 | 2025-12-01 | 498.18 | 810123*******6667 |
| 45 | 罗* | 430624********281X | 50,000.00 | 50,000.00 | 2023-04-04 | 2025-04-04 | 510.60 | 810123*******7718 |
| 46 | 彭*宗 | 430624********461X | 50,000.00 | 50,000.00 | 2024-02-27 | 2026-02-27 | 465.98 | 810123*******1558 |
| 47 | 任*超 | 430624********4613 | 50,000.00 | 50,000.00 | 2023-12-27 | 2025-12-27 | 498.18 | 810123*******6555 |
| 48 | 谭*辉 | 430624********461X | 50,000.00 | 50,000.00 | 2024-02-27 | 2026-02-27 | 465.98 | 810123*******3985 |
| 49 | 王*良 | 430624********461X | 50,000.00 | 50,000.00 | 2023-11-16 | 2025-11-16 | 498.18 | 810123*******9998 |
| 50 | 王*祥 | 430624********461X | 20,000.00 | 20,000.00 | 2023-11-23 | 2025-11-23 | 199.27 | 810123*******3391 |
| 51 | 危*辉 | 430624********4616 | 50,000.00 | 50,000.00 | 2024-02-04 | 2026-02-04 | 498.18 | 810123*******4026 |
| 52 | 熊*美 | 430624********4618 | 25,000.00 | 25,000.00 | 2023-10-30 | 2025-10-30 | 249.09 | 810123*******1225 |
| 53 | 阳*英 | 430624********5321 | 40,000.00 | 40,000.00 | 2024-01-27 | 2026-01-27 | 398.54 | 810123*******6787 |
| 54 | 易*涛 | 430624********4683 | 25,000.00 | 25,000.00 | 2023-11-30 | 2025-11-30 | 249.09 | 810123*******3572 |
| 55 | 余* | 430624********2811 | 50,000.00 | 50,000.00 | 2023-11-30 | 2025-11-30 | 498.18 | 810123*******8658 |
| 56 | 张*辉 | 430624********2815 | 50,000.00 | 50,000.00 | 2023-12-01 | 2025-12-01 | 498.18 | 810123*******8697 |
| 57 | 郑*良 | 430624********4615 | 40,000.00 | 40,000.00 | 2023-12-22 | 2025-12-22 | 398.54 | 810123*******4060 |
| 58 | 周*明 | 430624********4629 | 40,000.00 | 40,000.00 | 2023-11-02 | 2025-11-02 | 398.54 | 810123*******2685 |
| 59 | 宋*泉 | 430624********4414 | 50,000.00 | 49,500.00 | 2023/10/16 | 2024/10/16 | 550.55 | 810123*******9835 |
| 60 | 黎*敏 | 430624********4436 | 50,000.00 | 50,000.00 | 2023/10/26 | 2024/10/26 | 550.55 | 810123*******3331 |
| 61 | 彭*良 | 430624********4418 | 50,000.00 | 50,000.00 | 2023/9/5 | 2024/9/5 | 550.55 | 810123*******2757 |
| 62 | 龚*春 | 430624********441X | 50,000.00 | 50,000.00 | 2024/1/5 | 2026/1/5 | 337.05 | 810123*******8173 |
| 63 | 殷*炎 | 430624********445X | 25,000.00 | 25,000.00 | 2023/12/27 | 2025/12/27 | 293.50 | 810123*******9697 |
| 64 | 易* | 430624********443X | 30,000.00 | 30,000.00 | 2023/12/8 | 2024/12/8 | 330.33 | 810123*******2536 |
| 65 | 朱* | 430624********441X | 50,000.00 | 50,000.00 | 2023/6/27 | 2024/6/27 | 550.55 | 810123*******2552 |
| 66 | 周*强 | 430624********4433 | 50,000.00 | 50,000.00 | 2023/6/16 | 2024/6/16 | 550.55 | 810123*******2780 |
| 67 | 聂*桃 | 430624********4425 | 50,000.00 | 50,000.00 | 2023/8/16 | 2024/8/16 | 550.55 | 810123*******2190 |
| 68 | 谭* | 430624********4428 | 11,000.00 | 8,102.35 | 2021/6/8 | 2024/6/8 | 120.00 | 810123*******0632 |
| 69 | 孙*林 | 430624********4417 | 50,000.00 | 50,000.00 | 2023/12/24 | 2023/12/23 | 550.55 | 810123*******1719 |
| 70 | 杨*红 | 430624********4445 | 40,000.00 | 40,000.00 | 2023/10/8 | 2024/10/8 | 445.00 | 810123*******0756 |
| 71 | 黄* | 430624********9334 | 50,000.00 | 50,000.00 | 2022/4/11 | 2024/4/11 | 550.55 | 810123*******1594 |
| 72 | 黄*志 | 430624********4411 | 10,000.00 | 9,000.00 | 2023/12/27 | 2025/12/27 | 115.00 | 810123*******9766 |
| 73 | 周*兵 | 432321********9117 | 15,000.00 | 15,000.00 | 2023/11/17 | 2025/11/17 | 149.50 | 810123*******0182 |
| 74 | 彭*伏 | 430624********8953 | 17,000.00 | 17,000.00 | 2023/11/16 | 2025/11/16 | 169.43 | 810123*******0273 |
| 75 | 王*阳 | 432321********8764 | 9500 | 9500 | 2023/11/16 | 2025/11/16 | 94.68 | 810123*******6215 |
| 76 | 唐*红 | 430624********7710 | 30000 | 30000 | 2023/11/7 | 2025/11/7 | 299.00 | 810123*******0126 |
| 77 | 吴*华 | 430624********7716 | 10100 | 10100 | 2023/12/2 | 2025/12/2 | 100.66 | 810123*******0829 |
| 78 | 贺*芳 | 430624********8326 | 14,000.00 | 14,000.00 | 2023/12/7 | 2025/12/7 | 139.53 | 810123*******1502 |
| 79 | 王*云 | 430624********7712 | 18,000.00 | 18,000.00 | 2023/12/6 | 2025/12/6 | 179.40 | 810123*******2522 |
| 80 | 肖*兵 | 430624********7711 | 14,000.00 | 14,000.00 | 2024/4/9 | 2025/4/9 | 123.43 | 810123*******7171 |
| 81 | 胡*景 | 430624********7734 | 30,000.00 | 30,000.00 | 2023/5/20 | 2024/5/20 | 279.83 | 810123*******5507 |
| 82 | 王*仁 | 430624********8353 | 20,000.00 | 20,000.00 | 2023/5/12 | 2024/5/12 | 186.56 | 810123*******5238 |
| 83 | 刘*军 | 430624********8357 | 40,000.00 | 40,000.00 | 2023/5/22 | 2025/5/22 | 408.89 | 810123*******2703 |
| 84 | 吴*元 | 430624********7712 | 30,000.00 | 30,000.00 | 2024/6/3 | 2026/6/3 | 279.83 | 810123*******0772 |
| 85 | 吴*华 | 430624********7716 | 30,000.00 | 30,000.00 | 2024/5/23 | 2026/5/23 | 279.83 | 810123*******0830 |
| 86 | 王*明 | 430624********8339 | 20,000.00 | 20,000.00 | 2023/6/20 | 2024/6/20 | 186.56 | 810123*******6479 |
| 87 | 张*喜 | 430624********7937 | 50,000.00 | 50,000.00 | 2023/6/19 | 2024/6/19 | 466.39 | 810123*******0976 |
| 88 | 李*伟 | 430624********7716 | 20,000.00 | 20,000.00 | 2023/7/2 | 2024/7/2 | 181.44 | 810123*******2442 |
| 89 | 曹*阳 | 430624********7712 | 50,000.00 | 50,000.00 | 2023/7/15 | 2024/7/15 | 453.61 | 810123*******0750 |
| 90 | 胡*清 | 430624********0014 | 50,000.00 | 50,000.00 | 2023/9/5 | 2024/9/5 | 440.83 | 623090*******585296 |
| 91 | 胡*平 | 430624********771X | 50,000.00 | 50,000.00 | 2023/9/27 | 2026/9/27 | 498.33 | 623090*******759466 |
| 92 | 彭*明 | 430624********7967 | 50,000.00 | 50,000.00 | 2023/11/1 | 2025/11/1 | 498.33 | 623090*******767139 |
| 93 | 唐*英 | 430624********8321 | 50,000.00 | 50,000.00 | 2023/11/14 | 2025/11/14 | 498.33 | 623090*******766495 |
| 94 | 李*东 | 430624********7732 | 50,000.00 | 50,000.00 | 2024/2/18 | 2026/2/18 | 498.33 | 623090*******569852 |
| 95 | 李*辉 | 430624********771X | 20,000.00 | 20,000.00 | 2023/12/18 | 2025/12/18 | 199.33 | 623090*******588605 |
| 96 | 尹*良 | 430624********9771 | 40,000.00 | 40,000.00 | 2023/9/14 | 2024/9/14 | 352.67 | 623090*******587409 |
| 97 | 宋*辉 | 430624********7711 | 30,000.00 | 30,000.00 | 2023/9/22 | 2025/9/22 | 299.00 | 623090*******572492 |
| 98 | 李*风 | 430624********7933 | 50,000.00 | 50,000.00 | 2023/10/20 | 2026/10/20 | 498.33 | 623090*******202873 |
| 99 | 吴* | 430624********7718 | 30,000.00 | 30,000.00 | 2023/11/6 | 2025/11/6 | 299.00 | 623090*******569837 |
| 100 | 李*珠 | 430624********9356 | 9,000.00 | 9,000.00 | 2023/11/17 | 2025/11/17 | 89.70 | 810123*******9050 |
| 101 | 彭*英 | 430624********8324 | 5,000.00 | 5,000.00 | 2023/10/20 | 2026/10/20 | 49.83 | 810123*******5732 |
| 102 | 刘*林 | 430624********831X | 50,000.00 | 50,000.00 | 2023/8/7 | 2024/8/7 | 453.61 | 810123*******3292 |
| 103 | 杨* | 430624********8313 | 30,000.00 | 30,000.00 | 2023/10/25 | 2024/10/25 | 264.50 | 810123*******7211 |
| 104 | 李*娥 | 430624********7728 | 25,000.00 | 25,000.00 | 2023/11/30 | 2025/11/30 | 249.17 | 810123*******6640 |
| 105 | 吴*花 | 430624********8321 | 17,000.00 | 17,000.00 | 2023/11/20 | 2025/11/20 | 169.43 | 810123*******9412 |
| 106 | 周*清 | 430624********7720 | 50,000.00 | 50,000.00 | 2023/11/27 | 2025/11/27 | 498.33 | 810123*******3974 |
| 107 | 吴*华 | 430624********7750 | 10,000.00 | 10,000.00 | 2024/5/9 | 2025/5/9 | 42.17 | 810123*******0535 |
| 108 | 杨*玉 | 433026********6315 | 25,000.00 | 25,000.00 | 2023-12-29 | 2024-12-29 | 227.60 | 810123*******6787 |
| 109 | 倪*良 | 430624********403X | 30,000.00 | 30,000.00 | 2023-12-08 | 2024-12-08 | 273.12 | 810123*******9508 |
| 110 | 杨*兴 | 431227********5711 | 30,000.00 | 30,000.00 | 2023-09-01 | 2024-09-01 | 273.12 | 810123*******6168 |
| 111 | 汪*军 | 430624********4023 | 30,000.00 | 30,000.00 | 2023-12-19 | 2024-12-19 | 273.12 | 810123*******1007 |
| 112 | 余*欢 | 430624********0063 | 30,000.00 | 30,000.00 | 2024-01-15 | 2025-01-15 | 273.12 | 810123*******9345 |
| 113 | 周*兰 | 430624********4022 | 30,000.00 | 30,000.00 | 2024-04-30 | 2025-04-30 | 273.12 | 810123*******9337 |
| 114 | 田* | 430624********4011 | 30,000.00 | 30,000.00 | 2024-06-05 | 2025-06-05 | 273.12 | 810123*******8111 |
| 115 | 邵* | 430624********4040 | 30,000.00 | 30,000.00 | 2024-05-23 | 2025-05-23 | 273.12 | 810123*******8010 |
| 116 | 田*华 | 430624********0053 | 40,000.00 | 40,000.00 | 2023-12-01 | 2024-12-01 | 364.16 | 810123*******0127 |
| 117 | 唐*军 | 430624********4016 | 40,000.00 | 40,000.00 | 2023-12-28 | 2024-12-28 | 364.16 | 810123*******9315 |
| 118 | 吴* | 430624********4013 | 50,000.00 | 50,000.00 | 2024-03-20 | 2025-03-20 | 455.20 | 810104*******2523 |
| 119 | 徐*球 | 430624********4078 | 50,000.00 | 50,000.00 | 2023-11-09 | 2024-11-09 | 455.20 | 810123*******9304 |
| 120 | 李* | 430624********4012 | 50,000.00 | 50,000.00 | 2023-11-09 | 2024-11-09 | 455.20 | 810123*******8239 |
| 121 | 雷*玉 | 430624********404X | 50,000.00 | 50,000.00 | 2023-08-30 | 2024-08-30 | 455.20 | 810123*******9892 |
| 122 | 钟*兵 | 430624********4017 | 50,000.00 | 50,000.00 | 2023-10-19 | 2024-10-19 | 455.20 | 810123*******1325 |
| 123 | 戴*超 | 430624********4035 | 50,000.00 | 50,000.00 | 2023-12-25 | 2024-12-25 | 455.20 | 810123*******8924 |
| 124 | 张* | 430624********401X | 50,000.00 | 50,000.00 | 2023-12-26 | 2024-12-26 | 455.20 | 810123*******0434 |
| 125 | 杨*平 | 430624********403X | 50,000.00 | 50,000.00 | 2024-01-30 | 2025-01-30 | 455.20 | 810123*******2419 |
| 126 | 何* | 430624********4013 | 50,000.00 | 50,000.00 | 2023-12-18 | 2024-12-18 | 455.20 | 810123*******0072 |
| 127 | 张*辉 | 430624********4058 | 50,000.00 | 50,000.00 | 2023-12-21 | 2024-12-21 | 455.20 | 810123*******8833 |
| 128 | 冯*祥 | 430624********4090 | 50,000.00 | 50,000.00 | 2024-01-24 | 2025-01-24 | 455.20 | 810123*******8742 |
| 129 | 石*军 | 430624********4033 | 50,000.00 | 50,000.00 | 2024-05-10 | 2025-05-10 | 455.20 | 810123*******1072 |
| 130 | 黄*华 | 430624********4015 | 50,000.00 | 50,000.00 | 2024-05-08 | 2025-05-08 | 455.20 | 810123*******8628 |
| 131 | 钟*峰 | 430624********4032 | 50,000.00 | 50,000.00 | 2024-01-16 | 2025-01-16 | 455.20 | 810123*******5157 |
| 132 | 周*军 | 430624********4038 | 50,000.00 | 50,000.00 | 2023-12-13 | 2024-12-13 | 455.20 | 810123*******0922 |
| 133 | 黄*阳 | 430624********4053 | 50,000.00 | 50,000.00 | 2024-06-12 | 2025-06-12 | 455.20 | 810123*******8470 |
| 134 | 徐* | 430624********4035 | 50,000.00 | 50,000.00 | 2024-04-28 | 2025-04-28 | 455.20 | 810123*******8665 |
| 135 | 胡* | 430624********4056 | 50,000.00 | 50,000.00 | 2023-08-09 | 2024-08-09 | 468.40 | 810123*******8902 |
| 136 | 冯* | 430624********4014 | 50,000.00 | 50,000.00 | 2023-08-04 | 2024-08-04 | 468.40 | 810123*******4218 |
| 137 | 杨* | 430624********0059 | 50,000.00 | 50,000.00 | 2023-07-12 | 2024-07-12 | 468.40 | 810123*******5353 |
| 138 | 张* | 430624********4039 | 50,000.00 | 50,000.00 | 2023-07-11 | 2024-07-11 | 468.40 | 810123*******7204 |
| 139 | 王*军 | 430624********4036 | 50,000.00 | 50,000.00 | 2023-07-27 | 2024-07-27 | 468.40 | 810123*******9621 |
| 140 | 冯*胜 | 430624********4030 | 50,000.00 | 50,000.00 | 2024-05-22 | 2025-05-22 | 455.20 | 810123*******1648 |
| 141 | 陈*民 | 430624********4030 | 50,000.00 | 50,000.00 | 2024-05-22 | 2025-05-22 | 455.20 | 810123*******7501 |
| 142 | 葛*华 | 430624********4063 | 50,000.00 | 50,000.00 | 2024-05-15 | 2025-05-15 | 455.20 | 810123*******6650 |
| 143 | 黄*华 | 430624********4058 | 40,000.00 | 40,000.00 | 2023-07-06 | 2024-07-06 | 374.72 | 810123*******9836 |
| 144 | 何*武 | 430624********401X | 50,000.00 | 50,000.00 | 2023-12-22 | 2024-12-22 | 455.20 | 810123*******9155 |
| 145 | 杨* | 430624********4098 | 50,000.00 | 50,000.00 | 2023-06-28 | 2024-06-28 | 468.40 | 810123*******9097 |
| 146 | 朱*华 | 430624********0012 | 50,000.00 | 50,000.00 | 2023-12-19 | 2024-12-19 | 455.20 | 810123*******2289 |
| 147 | 周*艳 | 522322********1521 | 50,000.00 | 50,000.00 | 2023-12-12 | 2024-12-12 | 455.20 | 810123*******5764 |
| 148 | 冯*辉 | 430624********4010 | 50,000.00 | 50,000.00 | 2024-06-12 | 2025-06-12 | 455.20 | 810123*******0864 |
| 149 | 陈* | 430624********6155 | 50,000.00 | 50000 | 2023-06-28 | 2024-06-28 | 448.68 | 810123*******8032 |
| 150 | 陈*良 | 430624********6112 | 40,000.00 | 40000 | 2024-02-23 | 2026-02-23 | 369.06 | 810123*******3905 |
| 151 | 陈*皇 | 430624********6115 | 50,000.00 | 50000 | 2023-10-16 | 2025-10-16 | 492.92 | 810123*******5335 |
| 152 | 陈* | 430624********6112 | 30,000.00 | 30000 | 2023-10-13 | 2025-10-13 | 295.75 | 810123*******5288 |
| 153 | 陈*杰 | 430624********6131 | 50,000.00 | 50000 | 2023-11-08 | 2025-11-08 | 492.92 | 810123*******5787 |
| 154 | 邓*凯 | 430624********6135 | 50,000.00 | 50000 | 2024-06-11 | 2025-06-11 | 476.04 | 810123*******5765 |
| 155 | 蒋*平 | 430624********6119 | 50,000.00 | 50000 | 2024-03-14 | 2026-03-14 | 461.32 | 810123*******4217 |
| 156 | 蒋*明 | 430624********6119 | 50,000.00 | 50000 | 2023-11-13 | 2025-11-13 | 492.92 | 810123*******5379 |
| 157 | 李*康 | 430624********6139 | 50,000.00 | 50000 | 2023-11-22 | 2025-11-22 | 492.92 | 810123*******5040 |
| 158 | 刘*其 | 430624********6139 | 30,000.00 | 30000 | 2024-04-11 | 2025-04-11 | 261.63 | 810123*******4568 |
| 159 | 刘*榜 | 430624********611X | 50,000.00 | 50000 | 2023-11-08 | 2025-11-08 | 492.92 | 810123*******5131 |
| 160 | 刘*雨 | 430624********6114 | 50,000.00 | 50000 | 2024-05-20 | 2025-05-20 | 476.04 | 810123*******2439 |
| 161 | 龙* | 430624********6137 | 50,000.00 | 50000 | 2024-05-20 | 2025-05-20 | 476.04 | 810123*******4466 |
| 162 | 罗*辉 | 430624********6113 | 50,000.00 | 50000 | 2024-05-31 | 2025-05-31 | 476.04 | 810123*******4670 |
| 163 | 谭* | 430624********6137 | 50,000.00 | 50000 | 2023-11-15 | 2025-11-15 | 492.92 | 810123*******8462 |
| 164 | 谭*云 | 430624********6114 | 50,000.00 | 50000 | 2023-11-20 | 2025-11-20 | 492.92 | 810123*******5798 |
| 165 | 吴*军 | 430624********6119 | 50,000.00 | 50000 | 2024-06-03 | 2025-06-03 | 476.04 | 810123*******1780 |
| 166 | 吴*桃 | 430624********6114 | 50,000.00 | 50000 | 2023-11-14 | 2025-11-14 | 492.92 | 810123*******5153 |
| 167 | 肖*光 | 430624********611X | 50,000.00 | 50000 | 2023-11-16 | 2025-11-16 | 492.92 | 810123*******0304 |
| 168 | 肖*辉 | 430624********6117 | 50,000.00 | 50000 | 2023-11-08 | 2025-11-08 | 492.92 | 810123*******5186 |
| 169 | 熊* | 430624********6115 | 50,000.00 | 50000 | 2023-07-17 | 2024-07-17 | 448.68 | 810123*******0141 |
| 170 | 杨*伟 | 430624********6114 | 50,000.00 | 50000 | 2024-01-30 | 2026-01-30 | 492.92 | 810123*******4308 |
| 171 | 姚*云 | 430624********6115 | 50,000.00 | 50000 | 2024-05-30 | 2025-05-30 | 476.04 | 810123*******6428 |
| 172 | 易*元 | 430624********6119 | 50,000.00 | 50000 | 2023-06-13 | 2024-06-13 | 476.00 | 810123*******5573 |
| 173 | 俞*奇 | 430624********6116 | 50,000.00 | 50000 | 2023-11-07 | 2025-11-07 | 492.92 | 810123*******5743 |
| 174 | 张*英 | 430624********6131 | 50,000.00 | 50000 | 2023-11-15 | 2025-11-15 | 492.92 | 810123*******5405 |
| 175 | 钟*帮 | 430624********6110 | 50,000.00 | 50000 | 2023-09-20 | 2025-09-20 | 492.92 | 810123*******8745 |
| 176 | 周*光 | 430624********6117 | 50,000.00 | 50000 | 2023-06-21 | 2024-06-21 | 448.68 | 810123*******4342 |
| 177 | 周*国 | 430624********6115 | 50,000.00 | 50000 | 2023-11-13 | 2025-11-13 | 492.92 | 810123*******2231 |
| 178 | 周* | 430624********6134 | 50,000.00 | 50000 | 2023-06-01 | 2024-06-01 | 461.32 | 810123*******4816 |
| 179 | 周*辉 | 430624********6126 | 50,000.00 | 50000 | 2023-11-22 | 2025-11-22 | 492.92 | 810123*******4375 |
| 180 | 周*奇 | 430624********6136 | 50,000.00 | 50000 | 2023-08-24 | 2024-08-24 | 476.04 | 810123*******3927 |
| 181 | 周*泽 | 430624********9496 | 50,000.00 | 50000 | 2023-12-22 | 2025-12-22 | 492.92 | 810123*******4306 |
| 182 | 朱* | 430624********6112 | 50,000.00 | 50000 | 2024-03-13 | 2026-03-13 | 461.32 | 810123*******3814 |
| 183 | 蔡*权 | 430624********3323 | 40,000.00 | 40,000.00 | 2023-12-06 | 2024-12-06 | 351.62 | 810123*******4350 |
| 184 | 吴*华 | 430624********3319 | 50,000.00 | 50,000.00 | 2023-11-10 | 2024-11-10 | 439.52 | 810123*******5570 |
| 185 | 夏*年 | 430624********3333 | 50,000.00 | 50,000.00 | 2023-08-21 | 2024-08-21 | 452.26 | 810123*******5897 |
| 186 | 余*良 | 430624********3316 | 20,000.00 | 20,000.00 | 2023-12-18 | 2024-12-18 | 175.81 | 810123*******7178 |
| 187 | 李*胜 | 430624********331X | 30,000.00 | 30,000.00 | 2023-12-07 | 2024-12-07 | 263.71 | 810123*******4554 |
| 188 | 余*军 | 430624********333X | 30,000.00 | 30,000.00 | 2023-10-23 | 2024-10-23 | 263.71 | 810123*******5194 |
| 189 | 冯*群 | 430624********3340 | 30,000.00 | 30,000.00 | 2023-12-19 | 2024-12-19 | 263.71 | 810123*******3583 |
| 190 | 冯*华 | 430624********3314 | 40,000.00 | 40,000.00 | 2023-12-07 | 2024-12-07 | 351.62 | 810123*******6153 |
| 191 | 李*凯 | 430624********3314 | 40,000.00 | 40,000.00 | 2023-12-08 | 2024-12-08 | 351.62 | 810123*******5241 |
| 192 | 张*兵 | 430624********3318 | 40,000.00 | 40,000.00 | 2023-11-14 | 2024-11-14 | 351.62 | 810123*******8319 |
| 193 | 徐*林 | 430624********3317 | 40,000.00 | 40,000.00 | 2023-10-26 | 2024-10-26 | 351.62 | 810123*******6539 |
| 194 | 张* | 430624********3331 | 40,000.00 | 40,000.00 | 2023-10-13 | 2024-10-13 | 351.62 | 810123*******8510 |
| 195 | 余*良 | 430624********0036 | 40,000.00 | 40,000.00 | 2023-10-10 | 2024-10-10 | 351.62 | 810123*******9908 |
| 196 | 杨*华 | 430624********3319 | 50,000.00 | 50,000.00 | 2023-11-08 | 2024-11-08 | 439.52 | 810123*******5252 |
| 197 | 王*华 | 430624********332X | 50,000.00 | 50,000.00 | 2023-11-01 | 2024-11-01 | 439.52 | 810123*******5947 |
| 198 | 毛* | 430624********3329 | 50,000.00 | 50,000.00 | 2023-08-10 | 2024-08-10 | 452.26 | 810123*******8064 |
| 199 | 何*英 | 430624********3341 | 50,000.00 | 50,000.00 | 2023-08-10 | 2024-08-10 | 452.26 | 810123*******1860 |
| 200 | 张*望 | 430624********331X | 50,000.00 | 50,000.00 | 2023-08-10 | 2024-08-10 | 452.26 | 810123*******5637 |
| 201 | 陈* | 430624********7135 | 40,000.00 | 40,000.00 | 2023-12-07 | 2024-12-07 | 352.67 | 810123*******1724 |
| 202 | 邓*奇 | 430624********7134 | 50,000.00 | 50,000.00 | 2023-12-25 | 2024-12-25 | 440.83 | 810123*******7752 |
| 203 | 甘* | 430624********7116 | 50,000.00 | 50,000.00 | 2023-08-07 | 2024-08-07 | 453.61 | 810123*******9371 |
| 204 | 郭* | 430624********7136 | 50,000.00 | 50,000.00 | 2024-06-08 | 2025-06-08 | 440.83 | 810123*******6645 |
| 205 | 胡*红 | 430624********7122 | 50,000.00 | 50,000.00 | 2023-06-26 | 2024-06-26 | 453.61 | 810123*******7882 |
| 206 | 胡*罗 | 430624********7172 | 45,000.00 | 45,000.00 | 2023-10-09 | 2024-10-09 | 396.75 | 810123*******9166 |
| 207 | 蒋*远 | 430624********7157 | 50,000.00 | 50,000.00 | 2024-01-26 | 2025-01-26 | 440.83 | 810123*******2547 |
| 208 | 李*芳 | 430624********7148 | 40,000.00 | 40,000.00 | 2023-11-10 | 2024-11-10 | 352.67 | 810123*******7516 |
| 209 | 李*军 | 430624********7138 | 40,000.00 | 40,000.00 | 2023-10-09 | 2024-10-09 | 352.67 | 810123*******9564 |
| 210 | 李*雪 | 430624********6727 | 30,000.00 | 30,000.00 | 2023-11-23 | 2024-11-23 | 264.50 | 810123*******7702 |
| 211 | 李*榜 | 430624********711X | 50,000.00 | 50,000.00 | 2023-06-27 | 2024-06-27 | 453.61 | 810123*******9519 |
| 212 | 刘*军 | 430624********9364 | 20,000.00 | 20,000.00 | 2023-10-31 | 2024-10-31 | 176.33 | 810123*******4555 |
| 213 | 柳* | 430624********7156 | 50,000.00 | 50,000.00 | 2023-12-18 | 2024-12-18 | 440.83 | 810123*******0247 |
| 214 | 罗*如 | 430624********7112 | 40,000.00 | 40,000.00 | 2023-12-05 | 2024-12-05 | 352.67 | 810123*******9439 |
| 215 | 罗*根 | 430624********7130 | 50,000.00 | 50,000.00 | 2023-09-18 | 2024-09-18 | 440.83 | 810123*******9188 |
| 216 | 罗*祥 | 430624********7119 | 20,000.00 | 20,000.00 | 2023-11-30 | 2024-11-30 | 176.33 | 810123*******9440 |
| 217 | 秦*牛 | 430624********7137 | 50,000.00 | 50,000.00 | 2023-09-21 | 2024-09-21 | 440.83 | 810123*******9654 |
| 218 | 任*凡 | 430624********7115 | 40,000.00 | 40,000.00 | 2023-09-18 | 2024-09-18 | 352.67 | 810123*******9111 |
| 219 | 宋*皇 | 430624********7150 | 50,000.00 | 50,000.00 | 2023-06-28 | 2024-06-28 | 453.61 | 810123*******8298 |
| 220 | 吴*辉 | 430624********7310 | 50,000.00 | 50,000.00 | 2024-02-04 | 2025-02-04 | 440.83 | 810123*******8345 |
| 221 | 谢*泉 | 430624********7138 | 50,000.00 | 50,000.00 | 2023-08-14 | 2024-08-14 | 453.61 | 810123*******7934 |
| 222 | 易* | 430624********713X | 50,000.00 | 50,000.00 | 2024-01-12 | 2025-01-12 | 440.83 | 810123*******5615 |
| 223 | 袁*辉 | 430624********7139 | 40,000.00 | 40,000.00 | 2023-11-23 | 2024-11-23 | 352.67 | 810123*******8367 |
| 224 | 张*奇 | 430624********7151 | 50,000.00 | 50,000.00 | 2023-08-03 | 2024-08-03 | 453.61 | 810123*******9881 |
| 225 | 杨*文 | 430624********2680 | 50,000.00 | 8000.00 | 2024/6/11 | 2026/6/11 | 545.71 | 810123*******2354 |
| 226 | 吴*军 | 430624********1819 | 30,000.00 | 29,708.95 | 2024/3/26 | 2026/3/26 | 341.37 | 810123*******6533 |
| 227 | 孔*良 | 430624********2637 | 50,000.00 | 50,000.00 | 2024/3/19 | 2026/3/19 | 545.71 | 810123*******0243 |
| 228 | 易*辉 | 430624********183X | 4200.00 | 3648.22 | 2024/3/26 | 2026/3/26 | 40.00 | 623090*******742736 |
| 229 | 余*熙 | 430624********2214 | 50,000.00 | 50,000.00 | 2024/4/2 | 2026/4/2 | 545.71 | 621539*******225294 |
| 230 | 余*明 | 430624********1839 | 50,000.00 | 50,000.00 | 2024/4/17 | 2026/4/17 | 545.71 | 623090*******742546 |
| 231 | 汪*清 | 430624********2644 | 50,000.00 | 50,000.00 | 2024/4/22 | 2025/4/22 | 545.71 | 810123*******2697 |
| 232 | 周*金 | 430624********0021 | 50,000.00 | 50,000.00 | 2022-04-29 | 2024-04-29 | 191.15 | 810123*******6423 |
| 233 | 蒋* | 430624********2237 | 50,000.00 | 50,000.00 | 2022-05-06 | 2024-05-06 | 226.85 | 810123*******2700 |
| 234 | 熊*明 | 430624********181X | 30,000.00 | 30,000.00 | 2022-05-06 | 2024-05-06 | 136.11 | 810123*******7174 |
| 235 | 林*军 | 430624********1819 | 30,000.00 | 30,000.00 | 2024/5/9 | 2026/5/9 | 295.43 | 810123*******7265 |
| 236 | 伏*香 | 430624********1825 | 50,000.00 | 50,000.00 | 2024/5/13 | 2026/5/13 | 545.71 | 810123*******8327 |
| 237 | 万*文 | 430624********1834 | 50,000.00 | 50,000.00 | 2022-05-16 | 2024-05-16 | 293.02 | 810123*******7447 |
| 238 | 徐*红 | 430624********2224 | 50,000.00 | 50,000.00 | 2024/5/14 | 2026/5/14 | 545.71 | 623090*******088772 |
| 239 | 甘*珍 | 430624********1832 | 50,000.00 | 50,000.00 | 2022-05-23 | 2024-05-23 | 323.08 | 810123*******7811 |
| 240 | 熊*桥 | 430624********1810 | 50,000.00 | 50,000.00 | 2022-05-23 | 2024-05-23 | 225.55 | 810123*******7312 |
| 241 | 胡*君 | 430624********1904 | 50,000.00 | 50,000.00 | 2024/5/29 | 2026/5/29 | 524.51 | 810123*******2252 |
| 242 | 黄*良 | 430624********1817 | 50,000.00 | 50,000.00 | 2022-05-26 | 2024-05-26 | 341.37 | 810123*******6106 |
| 243 | 张*国 | 430624********2690 | 50,000.00 | 50,000.00 | 2024/5/21 | 2026/5/21 | 524.51 | 623090*******744336 |
| 244 | 蒋*波 | 430624********1837 | 30,000.00 | 30,000.00 | 2022-06-08 | 2024-06-08 | 245.06 | 810123*******2263 |
| 245 | 唐* | 430624********1816 | 50,000.00 | 50,000.00 | 2024/6/11 | 2026/6/11 | 465.00 | 810123*******1310 |
| 246 | 曾*如 | 430624********1818 | 50,000.00 | 50,000.00 | 2021-06-25 | 2024-06-25 | 214.73 | 810123*******7753 |
| 247 | 谭*光 | 430624********1819 | 50,000.00 | 50,000.00 | 2023-06-25 | 2024-06-25 | 448.68 | 623090*******741670 |
| 248 | 周* | 430624********1815 | 50,000.00 | 50,000.00 | 2023-06-25 | 2024-06-25 | 448.68 | 810123*******6322 |
| 249 | 姚* | 430624********1839 | 50,000.00 | 50,000.00 | 2023-06-26 | 2024-06-26 | 448.68 | 810123*******1076 |
| 250 | 易*平 | 430624********1817 | 50,000.00 | 50,000.00 | 2021-06-28 | 2024-06-28 | 592.13 | 810123*******7764 |
| 251 | 罗*文 | 430624********2332 | 50,000.00 | 50,000.00 | 2022-07-01 | 2024-07-01 | 554.73 | 623090*******740060 |
| 252 | 吴* | 430624********1855 | 50,000.00 | 50,000.00 | 2021-07-01 | 2024-07-01 | 592.13 | 623090*******747289 |
| 253 | 彭*洁 | 430424********5625 | 50,000.00 | 50,000.00 | 2021-07-05 | 2024-07-05 | 84.59 | 810123*******5418 |
| 254 | 杨* | 430624********1855 | 50,000.00 | 50,000.00 | 2023-07-20 | 2024-07-20 | 448.68 | 623090*******753923 |
| 255 | 杨*东 | 430624********8574 | 50,000.00 | 50,000.00 | 2022-07-25 | 2024-07-25 | 554.72 | 810123*******4923 |
| 256 | 谭*玲 | 430624********1827 | 50,000.00 | 50,000.00 | 2022-08-05 | 2024-08-05 | 554.72 | 623090*******570603 |
| 257 | 易*根 | 430624********181X | 10,000.00 | 10,000.00 | 2023-08-08 | 2024-08-08 | 89.74 | 623090*******741837 |
| 258 | 周*军 | 430624********1818 | 50,000.00 | 30,000.00 | 2022-08-15 | 2024-08-15 | 332.84 | 810123*******8851 |
| 259 | 杨*良 | 430624********183X | 50,000.00 | 50,000.00 | 2021-08-18 | 2024-08-18 | 592.13 | 810123*******1024 |
| 260 | 林*平 | 430624********1816 | 40,000.00 | 40,000.00 | 2023-08-19 | 2024-08-19 | 430.07 | 623090*******741324 |
| 261 | 蒋* | 430624********2621 | 30,000.00 | 30,000.00 | 2023-08-23 | 2024-08-23 | 322.55 | 623090*******758674 |
| 262 | 钟*年 | 430624********2635 | 40,000.00 | 40,000.00 | 2023-08-31 | 2024-08-31 | 430.07 | 810123*******1055 |
| 263 | 龙*祥 | 522426********5354 | 30,000.00 | 30,000.00 | 2023-09-01 | 2024-09-01 | 261.63 | 623090*******742926 |
| 264 | 杨* | 430624********2614 | 50,000.00 | 50,000.00 | 2022-09-06 | 2024-09-06 | 536.03 | 623090*******743262 |
| 265 | 杨*军 | 430624********1811 | 50,000.00 | 50,000.00 | 2022-09-10 | 2024-09-10 | 536.03 | 810123*******8565 |
| 266 | 吴* | 430624********2234 | 50,000.00 | 50,000.00 | 2022-09-13 | 2024-09-13 | 536.03 | 810123*******6613 |
| 267 | 甘*辉 | 430624********1815 | 50,000.00 | 50,000.00 | 2023-09-14 | 2024-09-14 | 536.03 | 810123*******7866 |
| 268 | 甘*云 | 430624********1819 | 40,000.00 | 40,000.00 | 2022-09-20 | 2024-09-20 | 428.83 | 810123*******7583 |
| 269 | 吴*辉 | 430624********2257 | 50,000.00 | 50,000.00 | 2022-10-14 | 2024-10-14 | 536.03 | 623090*******750929 |
| 270 | 李*兰 | 430624********2709 | 30,000.00 | 30,000.00 | 2022-10-25 | 2024-10-25 | 321.62 | 810123*******7242 |
| 271 | 易*光 | 430624********2637 | 50,000.00 | 50,000.00 | 2022-11-11 | 2024-11-11 | 536.03 | 623090*******519022 |
| 272 | 吴*春 | 430624********2258 | 50,000.00 | 50,000.00 | 2022-11-16 | 2024-11-16 | 536.03 | 810123*******6476 |
| 273 | 姚*静 | 430624********1832 | 7,600.00 | 4932.78 | 2021-12-06 | 2024-12-06 | 56.65 | 623090*******742512 |
| 274 | 刘*红 | 430624********1853 | 9,600.00 | 2263.64 | 2021-12-21 | 2024-12-21 | 27.36 | 623090*******742843 |
| 275 | 唐*文 | 430624********183X | 8,400.00 | 126.61 | 2021-12-24 | 2024-12-24 | 7.11 | 623090*******742827 |
| 276 | 蒋*东 | 430624********1810 | 9,100.00 | 3287.72 | 2022-03-22 | 2025-03-22 | 37.70 | 623090*******742454 |
| 277 | 刘*先 | 430624********1822 | 25,700.00 | 8,355.03 | 2020-05-08 | 2025-05-08 | 87.49 | 623090*******400427 |
| 278 | 单* | 430624********1819 | 50,000.00 | 50,000.00 | 2023-06-26 | 2025-06-26 | 523.56 | 623090*******742173 |
| 279 | 陈* | 430624********2656 | 50,000.00 | 50,000.00 | 2023-07-13 | 2025-07-13 | 523.56 | 810123*******9848 |
| 280 | 余*良 | 430624********181X | 40,000.00 | 40,000.00 | 2023-09-28 | 2025-09-28 | 418.85 | 623090*******977682 |
| 281 | 余*英 | 430624********2267 | 40,000.00 | 40,000.00 | 2023-11-04 | 2025-11-04 | 418.85 | 810123*******7600 |
| 282 | 甘*生 | 430624********1818 | 40,000.00 | 40,000.00 | 2023-11-20 | 2025-11-20 | 418.85 | 623090*******742397 |
| 283 | 曾*元 | 430624********1810 | 40,000.00 | 40,000.00 | 2023-11-22 | 2025-11-22 | 418.85 | 623090*******742439 |
| 284 | 甘*章 | 430624********1835 | 40,000.00 | 40,000.00 | 2023-12-06 | 2025-12-06 | 418.85 | 623090*******742389 |
| 285 | 易*海 | 430624********1898 | 40,000.00 | 40,000.00 | 2023-12-06 | 2025-12-06 | 418.85 | 623090*******741688 |
| 286 | 易*辉 | 430624********2235 | 50,000.00 | 50,000.00 | 2023-12-11 | 2025-12-11 | 523.56 | 623090*******750184 |
| 287 | 殷*利 | 430624********2238 | 30,000.00 | 30,000.00 | 2023-12-11 | 2025-12-11 | 314.14 | 623090*******740326 |
| 288 | 甘*勇 | 430624********1855 | 50,000.00 | 50,000.00 | 2023-12-19 | 2025-12-19 | 523.56 | 621539*******225161 |
| 289 | 熊*华 | 430624********1832 | 40,000.00 | 20000 | 2023-12-19 | 2025-12-19 | 209.42 | 623090*******978482 |
| 290 | 熊* | 430624********1815 | 50,000.00 | 50,000.00 | 2024-01-29 | 2026-01-29 | 536.10 | 810123*******7323 |
| 291 | 蒋*春 | 430624********1811 | 40,000.00 | 40,000.00 | 2024-03-01 | 2026-03-01 | 393.92 | 623090*******742892 |
| 292 | 张*元 | 430624********1839 | 5,400.00 | 1912.36 | 2023-03-29 | 2026-03-29 | 23.56 | 810123*******8928 |
| 293 | 孔* | 430624********2630 | 50,000.00 | 50,000.00 | 2023-07-21 | 2026-07-21 | 523.56 | 621539*******892537 |
| 294 | 吴*球 | 430624********2612 | 50,000.00 | 50,000.00 | 2024-01-31 | 2026-12-31 | 523.56 | 810123*******9251 |
| 295 | 周*云 | 430624********0062 | 50,000.00 | 50,000.00 | 2024-01-26 | 2027-01-26 | 523.56 | 621539*******358084 |
| 296 | 余*阳 | 430624********5911 | 50,000.00 | 50,000.00 | 2023-06-14 | 2024-06-14 | 471.46 | 810123*******7547 |
| 297 | 易*武 | 430624********5712 | 50,000.00 | 50,000.00 | 2023-06-20 | 2024-06-20 | 471.46 | 810123*******9320 |
| 298 | 郑*辉 | 430624********6518 | 30,000.00 | 30,000.00 | 2023-06-21 | 2024-06-21 | 275.13 | 810123*******0744 |
| 299 | 杨*平 | 430624********5918 | 50,000.00 | 50,000.00 | 2023-06-29 | 2024-06-29 | 458.54 | 810123*******8818 |
| 300 | 俞*武 | 430624********5938 | 30,000.00 | 30,000.00 | 2023-07-11 | 2024-07-11 | 275.13 | 810123*******1168 |
| 301 | 彭*安 | 430624********6538 | 50,000.00 | 50,000.00 | 2023-07-11 | 2024-07-11 | 458.54 | 810123*******1443 |
| 302 | 易* | 430624********6352 | 50,000.00 | 50,000.00 | 2023-07-17 | 2024-07-17 | 458.54 | 810123*******3086 |
| 303 | 罗*华 | 430624********0157 | 14,000.00 | 14,000.00 | 2023-07-28 | 2024-07-28 | 128.39 | 810123*******2946 |
| 304 | 刘*波 | 430624********5719 | 50,000.00 | 50,000.00 | 2023-08-08 | 2024-08-08 | 458.54 | 810123*******0416 |
| 305 | 陈* | 430624********5917 | 50,000.00 | 50,000.00 | 2023-08-11 | 2024-08-11 | 458.54 | 810123*******2380 |
| 306 | 金*辉 | 430624********6511 | 25,000.00 | 25,000.00 | 2023-08-22 | 2024-08-22 | 222.81 | 810123*******3122 |
| 307 | 陶*辉 | 430624********571X | 50,000.00 | 50,000.00 | 2023-08-23 | 2024-08-23 | 445.63 | 810123*******0347 |
| 308 | 刘* | 430624********5921 | 50,000.00 | 50,000.00 | 2023-08-24 | 2024-08-24 | 445.63 | 810123*******7102 |
| 309 | 姚*文 | 430624********5956 | 50,000.00 | 50,000.00 | 2023-09-04 | 2024-09-04 | 445.63 | 810123*******1083 |
| 310 | 陈* | 430624********6518 | 50,000.00 | 50,000.00 | 2023-09-06 | 2024-09-06 | 445.63 | 810123*******0214 |
| 311 | 易* | 430624********5910 | 50,000.00 | 50,000.00 | 2023-09-07 | 2024-09-07 | 445.63 | 810123*******5846 |
| 312 | 余*莲 | 430624********6526 | 50,000.00 | 30,000.00 | 2023-09-11 | 2024-09-11 | 267.38 | 810123*******1321 |
| 313 | 余*彪 | 430624********6510 | 50,000.00 | 50,000.00 | 2023-09-18 | 2024-09-18 | 445.63 | 810123*******6864 |
| 314 | 李*清 | 430624********5914 | 30,000.00 | 30,000.00 | 2023-09-29 | 2024-09-28 | 267.38 | 810123*******7946 |
| 315 | 杨*华 | 430624********5912 | 30,000.00 | 30,000.00 | 2023-09-29 | 2024-09-28 | 267.38 | 810123*******8156 |
| 316 | 邓*兵 | 430624********5714 | 30,000.00 | 30,000.00 | 2023-10-09 | 2024-10-09 | 267.38 | 810123*******0110 |
| 317 | 刘*辉 | 430624********5950 | 30,000.00 | 30,000.00 | 2023-10-10 | 2024-10-10 | 267.38 | 810123*******9647 |
| 318 | 张*文 | 430624********5711 | 30,000.00 | 30,000.00 | 2023-10-11 | 2024-10-11 | 267.38 | 810123*******9364 |
| 319 | 赵*新 | 430624********5717 | 40,000.00 | 40,000.00 | 2023-10-12 | 2024-10-12 | 356.50 | 810123*******9794 |
| 320 | 郑*祥 | 430624********5910 | 10,000.00 | 10,000.00 | 2023-10-13 | 2024-10-13 | 89.13 | 810123*******9727 |
| 321 | 杨* | 430624********6555 | 36,000.00 | 36,000.00 | 2023-10-17 | 2024-10-17 | 320.85 | 810123*******2902 |
| 322 | 范*飞 | 430624********6515 | 36,000.00 | 36,000.00 | 2023-10-17 | 2024-10-17 | 320.85 | 810123*******1248 |
| 323 | 王*虚 | 430624********6519 | 18,000.00 | 18,000.00 | 2023-10-18 | 2024-10-18 | 160.43 | 810123*******2572 |
| 324 | 易*良 | 430624********6516 | 27,000.00 | 27,000.00 | 2023-10-18 | 2024-10-18 | 240.64 | 810123*******0711 |
| 325 | 徐* | 430624********6514 | 30,000.00 | 30,000.00 | 2023-10-20 | 2024-10-20 | 267.38 | 810123*******8167 |
| 326 | 廖*雨 | 430624********6516 | 50,000.00 | 45,000.00 | 2023-10-23 | 2024-10-23 | 401.06 | 810123*******1282 |
| 327 | 郑*祥 | 430624********6531 | 18,000.00 | 17,300.00 | 2023-10-24 | 2024-10-24 | 154.19 | 810123*******2651 |
| 328 | 易*良 | 430624********5715 | 50,000.00 | 50,000.00 | 2023-10-24 | 2024-10-24 | 445.63 | 810123*******0245 |
| 329 | 任*红 | 430624********5718 | 30,000.00 | 30,000.00 | 2023-10-25 | 2024-10-25 | 267.38 | 810123*******9137 |
| 330 | 欧*波 | 430624********6538 | 48,000.00 | 48,000.00 | 2023-10-26 | 2024-10-26 | 427.80 | 810123*******1636 |
| 331 | 杨*斌 | 430624********6539 | 30,000.00 | 30,000.00 | 2023-10-26 | 2024-10-26 | 267.38 | 810123*******9091 |
| 332 | 郑* | 430624********5955 | 50,000.00 | 50,000.00 | 2023-10-27 | 2024-10-27 | 445.63 | 810123*******7583 |
| 333 | 廖*文 | 430624********6552 | 30,000.00 | 30,000.00 | 2023-11-01 | 2024-11-01 | 267.38 | 810123*******3268 |
| 334 | 陈* | 430624********592X | 40,000.00 | 40,000.00 | 2023-11-03 | 2024-11-03 | 356.50 | 810123*******9013 |
| 335 | 任*华 | 430624********5735 | 30,000.00 | 30,000.00 | 2023-11-06 | 2024-11-06 | 267.38 | 810123*******9159 |
| 336 | 易*军 | 430624********5712 | 40,000.00 | 40,000.00 | 2023-11-06 | 2024-11-06 | 356.50 | 810123*******1908 |
| 337 | 刘*峰 | 430624********571X | 10,000.00 | 10,000.00 | 2023-11-07 | 2024-11-07 | 89.13 | 810123*******9499 |
| 338 | 余*秀 | 430624********6521 | 20,000.00 | 20,000.00 | 2023-11-08 | 2024-11-08 | 178.25 | 810123*******1307 |
| 339 | 彭*辉 | 430624********5712 | 40,000.00 | 40,000.00 | 2023-11-09 | 2024-11-09 | 356.50 | 810123*******0574 |
| 340 | 杨* | 430624********5948 | 30,000.00 | 30,000.00 | 2023-11-09 | 2025-11-09 | 302.25 | 810123*******8178 |
| 341 | 虢*光 | 430624********0015 | 40,000.00 | 40,000.00 | 2023-11-09 | 2025-11-09 | 403.00 | 810123*******8677 |
| 342 | 杨*辉 | 430624********5716 | 40,000.00 | 40,000.00 | 2023-11-09 | 2025-11-09 | 403.00 | 810123*******0018 |
| 343 | 刘* | 430624********6512 | 45,000.00 | 45,000.00 | 2023-11-09 | 2025-11-09 | 453.38 | 810123*******8564 |
| 344 | 张*喜 | 430624********651X | 40,000.00 | 40,000.00 | 2023-11-10 | 2025-11-10 | 403.00 | 810123*******0675 |
| 345 | 任*良 | 430624********5916 | 40,000.00 | 40,000.00 | 2023-11-10 | 2025-11-10 | 403.00 | 810123*******2291 |
| 346 | 刘*良 | 430624********6534 | 27,000.00 | 27,000.00 | 2023-11-13 | 2025-11-13 | 272.03 | 810123*******0915 |
| 347 | 陶*文 | 430624********575X | 30,000.00 | 30,000.00 | 2023-11-13 | 2025-11-13 | 302.25 | 810123*******0369 |
| 348 | 易*魁 | 430624********5715 | 50,000.00 | 50,000.00 | 2023-11-13 | 2025-11-13 | 503.75 | 810123*******8829 |
| 349 | 陈* | 430624********6526 | 40,000.00 | 40,000.00 | 2023-11-14 | 2025-11-14 | 403.00 | 810123*******7559 |
| 350 | 刘* | 430624********6515 | 45,000.00 | 45,000.00 | 2023-11-15 | 2025-11-15 | 453.38 | 810123*******1067 |
| 351 | 杨* | 430624********6550 | 50,000.00 | 50,000.00 | 2023-11-15 | 2025-11-15 | 503.75 | 810123*******1178 |
| 352 | 姚*兵 | 430624********5739 | 50,000.00 | 50,000.00 | 2023-11-15 | 2025-11-15 | 503.75 | 810123*******0267 |
| 353 | 王*根 | 430624********651X | 45,000.00 | 45,000.00 | 2023-11-16 | 2025-11-16 | 453.38 | 810123*******0857 |
| 354 | 陈*兵 | 430624********6511 | 50,000.00 | 50,000.00 | 2023-11-16 | 2025-11-16 | 503.75 | 810123*******1078 |
| 355 | 任* | 430624********597X | 40,000.00 | 40,000.00 | 2023-11-17 | 2025-11-17 | 403.00 | 810123*******0366 |
| 356 | 刘*根 | 430624********6558 | 45,000.00 | 45,000.00 | 2023-11-20 | 2025-11-20 | 453.38 | 810123*******0960 |
| 357 | 何*辉 | 430624********6518 | 45,000.00 | 45,000.00 | 2023-11-20 | 2025-11-20 | 453.38 | 810123*******0904 |
| 358 | 张*玉 | 430624********6518 | 25,000.00 | 25,000.00 | 2023-11-22 | 2025-11-22 | 251.88 | 810123*******0755 |
| 359 | 刘*夫 | 430624********6515 | 40,000.00 | 40,000.00 | 2023-11-23 | 2025-11-23 | 403.00 | 810123*******1363 |
| 360 | 陈*军 | 430624********651X | 40,000.00 | 40,000.00 | 2023-11-27 | 2025-11-27 | 403.00 | 810123*******2583 |
| 361 | 刘*顺 | 430624********0049 | 40,000.00 | 40,000.00 | 2023-11-27 | 2025-11-27 | 403.00 | 810123*******6518 |
| 362 | 余*砖 | 430624********6534 | 45,000.00 | 45,000.00 | 2023-11-27 | 2025-11-27 | 453.38 | 810123*******3100 |
| 363 | 罗* | 430624********0016 | 30,000.00 | 30,000.00 | 2023-11-28 | 2025-11-28 | 302.25 | 810123*******9169 |
| 364 | 杨*玲 | 430624********5928 | 47,000.00 | 47,000.00 | 2023-11-29 | 2025-11-29 | 473.53 | 810123*******5596 |
| 365 | 余*其 | 430624********6511 | 50,000.00 | 50,000.00 | 2023-11-29 | 2025-11-29 | 503.75 | 810123*******7014 |
| 366 | 侯*良 | 430624********5758 | 50,000.00 | 50,000.00 | 2023-11-30 | 2025-11-30 | 503.75 | 810123*******0256 |
| 367 | 陈*霞 | 432322********382X | 45,000.00 | 45,000.00 | 2023-12-04 | 2025-12-04 | 453.38 | 810123*******6850 |
| 368 | 李*龙 | 430624********6518 | 45,000.00 | 45,000.00 | 2023-12-04 | 2025-12-04 | 453.38 | 810123*******3199 |
| 369 | 王* | 430624********5717 | 50,000.00 | 50,000.00 | 2023-12-04 | 2025-12-04 | 503.75 | 810123*******3682 |
| 370 | 彭*田 | 430624********5717 | 30,000.00 | 30,000.00 | 2023-12-06 | 2025-12-06 | 302.25 | 810123*******0530 |
| 371 | 赵*祥 | 430624********5718 | 30,000.00 | 30,000.00 | 2023-12-06 | 2025-12-06 | 302.25 | 810123*******1658 |
| 372 | 苏*辉 | 430624********5914 | 40,000.00 | 40,000.00 | 2023-12-06 | 2025-12-06 | 403.00 | 810123*******7877 |
| 373 | 刘*英 | 430624********5727 | 50,000.00 | 40,000.00 | 2023-12-06 | 2025-12-06 | 403.00 | 810123*******1013 |
| 374 | 甘* | 430624********6552 | 45,000.00 | 45,000.00 | 2023-12-06 | 2025-12-06 | 453.38 | 810123*******8573 |
| 375 | 王*明 | 430624********5715 | 30,000.00 | 30,000.00 | 2023-12-07 | 2025-12-07 | 302.25 | 810123*******9502 |
| 376 | 刘* | 430624********5939 | 30,000.00 | 30,000.00 | 2023-12-08 | 2025-12-08 | 302.25 | 810123*******7492 |
| 377 | 易*龙 | 430624********6533 | 50,000.00 | 50,000.00 | 2023-12-12 | 2025-12-12 | 503.75 | 810123*******9294 |
| 378 | 任*英 | 430624********5920 | 50,000.00 | 50,000.00 | 2023-12-12 | 2025-12-12 | 503.75 | 810123*******8724 |
| 379 | 邓*平 | 430624********6531 | 45,000.00 | 45,000.00 | 2023-12-15 | 2025-12-15 | 453.38 | 810123*******4758 |
| 380 | 王*华 | 430624********6543 | 40,000.00 | 40,000.00 | 2023-12-27 | 2025-12-27 | 403.00 | 810123*******3565 |
| 381 | 杨*毓 | 430624********592X | 50,000.00 | 50,000.00 | 2023-12-28 | 2025-12-28 | 503.75 | 810123*******3573 |
| 382 | 谢*乔 | 430624********5914 | 50,000.00 | 50,000.00 | 2023-12-28 | 2025-12-28 | 503.75 | 810123*******7403 |
| 383 | 杨*军 | 522624********3617 | 50,000.00 | 50,000.00 | 2024-01-22 | 2025-12-22 | 503.75 | 810123*******6827 |
| 384 | 刘* | 430624********5918 | 50,000.00 | 50,000.00 | 2024-03-28 | 2026-03-28 | 471.46 | 810123*******9337 |
| 385 | 钟*云 | 430624********0078 | 50,000.00 | 50,000.00 | 2023-05-05 | 2024-05-05 | 246.26 | 810123*******6237 |
| 386 | 余*平 | 430624********3616 | 50,000.00 | 50,000.00 | 2023-06-08 | 2024-06-08 | 463.28 | 810123*******6102 |
| 387 | 田* | 430624********9756 | 50,000.00 | 50,000.00 | 2023-06-20 | 2024-06-20 | 517.26 | 810123*******0209 |
| 388 | 钟*聪 | 430624********3653 | 50,000.00 | 50,000.00 | 2023-06-26 | 2024-06-26 | 517.26 | 810123*******7082 |
| 389 | 许*军 | 430624********1215 | 50,000.00 | 50,000.00 | 2023-07-10 | 2024-07-10 | 517.26 | 810123*******6437 |
| 390 | 杨* | 430624********0058 | 50,000.00 | 50,000.00 | 2023-07-10 | 2024-07-10 | 517.26 | 810123*******7956 |
| 391 | 田*华 | 430624********3617 | 50,000.00 | 50,000.00 | 2023-07-19 | 2024-07-19 | 517.26 | 810123*******5915 |
| 392 | 肖*根 | 430624********1419 | 50,000.00 | 50,000.00 | 2023-07-24 | 2024-07-24 | 517.26 | 810123*******9305 |
| 393 | 欧*娥 | 430624********9749 | 50,000.00 | 50,000.00 | 2023-07-25 | 2024-07-25 | 517.26 | 810123*******5264 |
| 394 | 钟*新 | 430624********3613 | 50,000.00 | 50,000.00 | 2023-08-02 | 2024-08-02 | 517.26 | 810123*******6689 |
| 395 | 姜* | 430624********3610 | 50,000.00 | 50,000.00 | 2023-08-11 | 2024-08-11 | 517.26 | 810123*******0323 |
| 396 | 肖*平 | 430624********1418 | 50,000.00 | 50,000.00 | 2023-08-14 | 2024-08-14 | 517.26 | 810123*******8528 |
| 397 | 肖*根 | 430624********1235 | 50,000.00 | 50,000.00 | 2023-08-15 | 2024-08-15 | 517.26 | 810123*******8437 |
| 398 | 钟* | 430624********3678 | 50,000.00 | 50,000.00 | 2023-08-15 | 2024-08-15 | 517.26 | 810123*******7515 |
| 399 | 肖* | 430624********9482 | 50,000.00 | 50,000.00 | 2023-08-16 | 2024-08-16 | 517.26 | 810123*******8817 |
| 400 | 钟*伟 | 430624********3610 | 50,000.00 | 50,000.00 | 2023-08-21 | 2024-08-21 | 517.26 | 810123*******6678 |
| 401 | 米*爱 | 430624********9789 | 50,000.00 | 50,000.00 | 2023-08-24 | 2024-08-24 | 517.26 | 810123*******6916 |
| 402 | 蒋* | 430624********3611 | 50,000.00 | 50,000.00 | 2023-09-04 | 2024-09-04 | 517.26 | 810123*******7571 |
| 403 | 肖*波 | 430624********3634 | 50,000.00 | 50,000.00 | 2023-09-04 | 2024-09-04 | 517.26 | 810123*******6573 |
| 404 | 肖* | 430624********0550 | 50,000.00 | 50,000.00 | 2023-09-08 | 2024-09-08 | 517.26 | 810123*******9054 |
| 405 | 钟*军 | 430624********3612 | 50,000.00 | 50,000.00 | 2023-09-15 | 2024-09-15 | 517.26 | 810123*******6522 |
| 406 | 肖*兵 | 430624********1217 | 50,000.00 | 50,000.00 | 2023-10-08 | 2024-10-08 | 517.26 | 810123*******9316 |
| 407 | 宋*其 | 430624********3614 | 50,000.00 | 50,000.00 | 2023-10-23 | 2024-10-23 | 517.26 | 810123*******6000 |
| 408 | 姜* | 430624********9717 | 50,000.00 | 50,000.00 | 2023-11-02 | 2024-11-02 | 517.26 | 810123*******1372 |
| 409 | 钟*军 | 430624********3613 | 50,000.00 | 50,000.00 | 2023-11-09 | 2024-11-09 | 517.26 | 810123*******6384 |
| 410 | 柳*红 | 430624********3627 | 50,000.00 | 50,000.00 | 2023-11-13 | 2024-11-13 | 517.26 | 810123*******2709 |
| 411 | 田* | 430624********3658 | 50,000.00 | 50,000.00 | 2023-11-16 | 2024-11-16 | 517.26 | 810123*******7071 |
| 412 | 钟*煌 | 430624********3615 | 50,000.00 | 50,000.00 | 2023-12-06 | 2024-12-06 | 517.26 | 810123*******6781 |
| 413 | 黄*飞 | 430624********3617 | 30,000.00 | 30,000.00 | 2023-12-07 | 2024-12-07 | 295.28 | 810123*******7435 |
| 414 | 钟*路 | 430624********0111 | 50,000.00 | 50,000.00 | 2023-12-21 | 2024-12-21 | 517.26 | 810123*******6489 |
| 415 | 何*安 | 430624********3615 | 50,000.00 | 50,000.00 | 2023-12-22 | 2024-12-22 | 517.26 | 810123*******7560 |
| 416 | 葛*祥 | 430624********3618 | 50,000.00 | 50,000.00 | 2024-04-11 | 2025-04-11 | 517.26 | 810123*******5971 |
| 417 | 殷*军 | 430624********339X | 50,000.00 | 50,000.00 | 2024-04-25 | 2025-04-25 | 517.26 | 810123*******6066 |
| 418 | 刘*煌 | 430624********1214 | 50,000.00 | 50,000.00 | 2024-05-07 | 2025-05-07 | 517.26 | 810123*******6652 |
| 419 | 易*培 | 430624********366X | 50,000.00 | 50,000.00 | 2024-05-07 | 2025-05-07 | 517.26 | 810123*******0127 |
| 420 | 施*伟 | 430624********004X | 50,000.00 | 50,000.00 | 2024-05-10 | 2025-05-10 | 517.26 | 810123*******8860 |
| 421 | 胡*明 | 430624********3639 | 50,000.00 | 50,000.00 | 2024-05-16 | 2025-05-16 | 517.26 | 810123*******6404 |
| 422 | 蒋*根 | 430624********3611 | 40,000.00 | 40,000.00 | 2024-05-21 | 2025-05-21 | 413.80 | 810123*******0387 |
| 423 | 余* | 430624********3636 | 50,000.00 | 50,000.00 | 2024-05-30 | 2025-05-30 | 517.26 | 810123*******8331 |
| 424 | 韩*美 | 430624********3624 | 50,000.00 | 50,000.00 | 2023-09-28 | 2025-09-28 | 517.26 | 810123*******3527 |
| 425 | 吴*红 | 430624********3611 | 50,000.00 | 50,000.00 | 2023-09-28 | 2025-09-28 | 517.26 | 810123*******7887 |
| 426 | 吴*明 | 430624********9751 | 50,000.00 | 50,000.00 | 2023-09-29 | 2025-09-29 | 517.26 | 810123*******9272 |
| 427 | 陈*梅 | 430624********3629 | 50,000.00 | 50,000.00 | 2023-10-19 | 2025-10-19 | 517.26 | 810123*******8353 |
| 428 | 姜* | 430624********3634 | 50,000.00 | 50,000.00 | 2023-10-19 | 2025-10-19 | 517.26 | 810123*******7537 |
| 429 | 马*秀 | 430624********0042 | 50,000.00 | 50,000.00 | 2023-10-19 | 2025-10-19 | 517.26 | 810123*******2357 |
| 430 | 吴*政 | 430624********3611 | 50,000.00 | 50,000.00 | 2023-10-19 | 2025-10-19 | 517.26 | 810123*******7157 |
| 431 | 钟*慧 | 430624********3644 | 50,000.00 | 50,000.00 | 2023-10-19 | 2025-10-19 | 517.26 | 810123*******3600 |
| 432 | 姜*国 | 430624********3615 | 50,000.00 | 50,000.00 | 2023-10-20 | 2025-10-20 | 517.26 | 810123*******7593 |
| 433 | 杨*清 | 430624********3625 | 50,000.00 | 50,000.00 | 2023-10-23 | 2025-10-23 | 517.26 | 810123*******7961 |
| 434 | 杨*美 | 430624********3617 | 50,000.00 | 50,000.00 | 2023-10-23 | 2025-10-23 | 517.26 | 810123*******7843 |
| 435 | 钟*柱 | 430624********3619 | 50,000.00 | 50,000.00 | 2023-10-23 | 2025-10-23 | 517.26 | 810123*******9487 |
| 436 | 吴*军 | 430624********3617 | 50,000.00 | 50,000.00 | 2023-10-24 | 2025-10-24 | 517.26 | 810123*******2206 |
| 437 | 蔡*检 | 430624********0011 | 50,000.00 | 50,000.00 | 2023-10-25 | 2025-10-25 | 517.26 | 810123*******1739 |
| 438 | 吴*勇 | 430624********3616 | 50,000.00 | 50,000.00 | 2023-10-25 | 2025-10-25 | 517.26 | 810123*******7912 |
| 439 | 熊*平 | 430624********8968 | 50,000.00 | 50,000.00 | 2023-10-25 | 2025-10-25 | 517.26 | 810123*******8928 |
| 440 | 钟* | 430624********3612 | 50,000.00 | 50,000.00 | 2023-10-25 | 2025-10-25 | 517.26 | 810123*******9784 |
| 441 | 吴*庭 | 430624********3613 | 50,000.00 | 50,000.00 | 2023-10-26 | 2025-10-26 | 517.26 | 810123*******7774 |
| 442 | 钟* | 430624********3617 | 50,000.00 | 50,000.00 | 2023-11-03 | 2025-11-03 | 517.26 | 810123*******6293 |
| 443 | 钟*和 | 430624********3631 | 50,000.00 | 50,000.00 | 2023-12-21 | 2025-12-21 | 517.26 | 810123*******6408 |
| 444 | 胡* | 430624********3637 | 50,000.00 | 50,000.00 | 2024-03-29 | 2026-03-29 | 517.26 | 810123*******9009 |
| 445 | 胡*平 | 430624********8916 | 50,000.00 | 50,000.00 | 2022-06-07 | 2024-06-07 | 536.04 | 810123*******1991 |
| 446 | 廖*辉 | 430624********8551 | 50,000.00 | 50,000.00 | 2022-06-17 | 2024-06-17 | 536.04 | 810123*******5217 |
| 447 | 姚* | 430624********8910 | 50,000.00 | 50,000.00 | 2022-06-20 | 2024-06-20 | 536.04 | 810123*******0481 |
| 448 | 危*才 | 430624********8914 | 50,000.00 | 50,000.00 | 2022-07-06 | 2024-07-06 | 536.04 | 810123*******0089 |
| 449 | 易*祥 | 430624********8913 | 50,000.00 | 50,000.00 | 2022-07-14 | 2024-07-14 | 536.04 | 810123*******0884 |
| 450 | 李* | 430624********8533 | 50,000.00 | 50,000.00 | 2022-07-15 | 2024-07-15 | 536.04 | 810123*******6888 |
| 451 | 李*仁 | 430624********8916 | 50,000.00 | 50,000.00 | 2023-07-27 | 2024-07-27 | 458.54 | 810123*******6250 |
| 452 | 郑*祥 | 430624********9335 | 50,000.00 | 50,000.00 | 2022-08-04 | 2024-08-04 | 536.04 | 810123*******4790 |
| 453 | 谈*江 | 430624********8917 | 50,000.00 | 50,000.00 | 2022-08-08 | 2024-08-08 | 536.04 | 810123*******3227 |
| 454 | 郑*平 | 430624********8511 | 40,000.00 | 40,000.00 | 2022-08-10 | 2024-08-10 | 428.83 | 810123*******4654 |
| 455 | 饶*国 | 430624********8534 | 50,000.00 | 50,000.00 | 2022-08-11 | 2024-08-11 | 536.04 | 810123*******4108 |
| 456 | 刘*红 | 430624********8520 | 50,000.00 | 50,000.00 | 2022-08-16 | 2024-08-16 | 536.04 | 810123*******4073 |
| 457 | 刘*丹 | 430624********8515 | 50,000.00 | 50,000.00 | 2022-08-22 | 2024-08-22 | 536.04 | 810123*******6476 |
| 458 | 秦*明 | 430624********8534 | 50,000.00 | 50,000.00 | 2022-08-24 | 2024-08-24 | 516.67 | 810123*******6979 |
| 459 | 吴*良 | 430624********8516 | 50,000.00 | 50,000.00 | 2022-08-25 | 2024-08-25 | 516.67 | 810123*******6469 |
| 460 | 胡*民 | 430624********8533 | 50,000.00 | 50,000.00 | 2022-08-25 | 2024-08-25 | 516.67 | 810123*******0980 |
| 461 | 黄*桃 | 430624********8961 | 50,000.00 | 50,000.00 | 2022-09-15 | 2024-09-15 | 516.67 | 810123*******2127 |
| 462 | 虢*飞 | 430624********9379 | 30,000.00 | 30,000.00 | 2022-09-16 | 2024-09-16 | 310.00 | 810123*******6378 |
| 463 | 梁* | 430624********8519 | 50,000.00 | 50,000.00 | 2022-09-16 | 2024-09-16 | 516.67 | 810123*******1376 |
| 464 | 李*祥 | 430624********851X | 50,000.00 | 50,000.00 | 2022-09-17 | 2024-09-17 | 516.67 | 810123*******6538 |
| 465 | 胡* | 430624********8927 | 50,000.00 | 50,000.00 | 2022-09-29 | 2024-09-29 | 516.67 | ******* |
| 466 | 罗*清 | 430624********8527 | 40,000.00 | 40,000.00 | 2022-09-30 | 2024-09-30 | 413.33 | ******* |
| 467 | 谭* | 430624********8916 | 50,000.00 | 50,000.00 | 2022-10-02 | 2024-10-02 | 516.67 | 810123*******3787 |
| 468 | 刘*华 | 430624********8922 | 40,000.00 | 40,000.00 | 2022-10-08 | 2024-10-08 | 413.33 | 810123*******1016 |
| 469 | 刘*胜 | 430624********8937 | 50,000.00 | 50,000.00 | 2022-10-08 | 2024-10-08 | 516.67 | 810123*******6842 |
| 470 | 朱*良 | 430624********8530 | 50,000.00 | 50,000.00 | 2022-10-10 | 2024-10-10 | 516.67 | 810123*******2972 |
| 471 | 肖*灿 | 430624********8516 | 50,000.00 | 50,000.00 | 2022-10-10 | 2024-10-10 | 516.67 | 810123*******5182 |
| 472 | 殷*辉 | 430624********8518 | 50,000.00 | 50,000.00 | 2022-10-10 | 2024-10-10 | 516.67 | 810123*******5148 |
| 473 | 陈*湘 | 430624********0015 | 50,000.00 | 50,000.00 | 2022-10-12 | 2024-10-12 | 516.67 | 810123*******6606 |
| 474 | 汪* | 430624********8591 | 50,000.00 | 50,000.00 | 2022-10-12 | 2024-10-12 | 516.67 | 810123*******3845 |
| 475 | 雍*芳 | 430624********8521 | 50,000.00 | 50,000.00 | 2022-10-17 | 2024-10-17 | 516.67 | 810123*******6812 |
| 476 | 胡* | 430624********8513 | 50,000.00 | 50,000.00 | 2022-10-18 | 2024-10-18 | 516.67 | 810123*******8279 |
| 477 | 刘*牛 | 430624********8516 | 40,000.00 | 40,000.00 | 2022-10-23 | 2024-10-23 | 413.33 | 810123*******6833 |
| 478 | 郑*良 | 430624********8532 | 50,000.00 | 50,000.00 | 2022-10-27 | 2024-10-27 | 516.67 | 810123*******5068 |
| 479 | 曾*泉 | 430624********8557 | 50,000.00 | 50,000.00 | 2022-10-27 | 2024-10-27 | 516.67 | 810123*******6094 |
| 480 | 汤*军 | 430624********8530 | 50,000.00 | 50,000.00 | 2023-10-27 | 2024-10-27 | 445.63 | 810123*******7298 |
| 481 | 任*平 | 430624********8518 | 50,000.00 | 50,000.00 | 2022-11-05 | 2024-11-05 | 516.67 | 810123*******6334 |
| 482 | 高*连 | 430624********8928 | 40,000.00 | 40,000.00 | 2022-11-07 | 2024-11-07 | 413.33 | ******* |
| 483 | 戴*娥 | 430624********8964 | 50,000.00 | 50,000.00 | 2022-11-08 | 2024-11-08 | 516.67 | 810123*******0330 |
| 484 | 黎* | 430624********0124 | 50,000.00 | 50,000.00 | 2022-11-11 | 2024-11-11 | 516.67 | 810123*******4517 |
| 485 | 向*冬 | 431223********2420 | 50,000.00 | 50,000.00 | 2022-11-11 | 2024-11-11 | 516.67 | ******* |
| 486 | 何*根 | 430624********8519 | 50,000.00 | 50,000.00 | 2022-11-15 | 2024-11-15 | 516.67 | 810123*******3012 |
| 487 | 袁*方 | 430624********8537 | 40,000.00 | 40,000.00 | 2022-11-16 | 2024-11-16 | 413.33 | 810123*******5364 |
| 488 | 郑*德 | 430624********851X | 50,000.00 | 50,000.00 | 2022-11-16 | 2024-11-16 | 516.67 | 810123*******1307 |
| 489 | 刘*明 | 430624********8514 | 50,000.00 | 50,000.00 | 2022-11-17 | 2024-11-17 | 516.67 | 810123*******5749 |
| 490 | 谭* | 430624********894X | 50,000.00 | 50,000.00 | 2022-11-24 | 2024-11-24 | 516.67 | ******* |
| 491 | 李*安 | 430624********8516 | 50,000.00 | 50,000.00 | 2022-11-24 | 2024-11-24 | 516.67 | 810123*******5965 |
| 492 | 吴*文 | 430624********8556 | 50,000.00 | 50,000.00 | 2022-11-28 | 2024-11-28 | 516.67 | 810123*******6617 |
| 493 | 钟* | 430624********8914 | 50,000.00 | 50,000.00 | 2022-11-29 | 2024-11-29 | 516.67 | 810123*******7339 |
| 494 | 王* | 430624********8939 | 50,000.00 | 50,000.00 | 2023-11-29 | 2024-11-29 | 445.63 | 810123*******6831 |
| 495 | 曾*龙 | 430624********891X | 50,000.00 | 50,000.00 | 2022-12-01 | 2024-12-01 | 516.67 | 810123*******1470 |
| 496 | 李*军 | 430624********8914 | 50,000.00 | 50,000.00 | 2022-12-02 | 2024-12-02 | 516.67 | 810123*******1888 |
| 497 | 林*辉 | 430624********8912 | 50,000.00 | 50,000.00 | 2023-12-05 | 2024-12-05 | 445.63 | 810123*******1821 |
| 498 | 吴* | 430624********2024 | 50,000.00 | 50,000.00 | 2022-12-07 | 2024-12-07 | 516.67 | ******* |
| 499 | 周*芬 | 430624********8519 | 50,000.00 | 50,000.00 | 2022-12-07 | 2024-12-07 | 516.67 | 810123*******6403 |
| 500 | 刘*妮 | 430624********0122 | 50,000.00 | 50,000.00 | 2022-12-07 | 2024-12-07 | 516.67 | 810123*******7247 |
| 501 | 胡*泉 | 430624********8613 | 50,000.00 | 50,000.00 | 2022-12-08 | 2024-12-08 | 516.67 | 810123*******6844 |
| 502 | 陈*先 | 430624********8519 | 50,000.00 | 50,000.00 | 2022-12-08 | 2024-12-08 | 516.67 | 810123*******5603 |
| 503 | 刘*良 | 430624********9693 | 50,000.00 | 50,000.00 | 2022-12-15 | 2024-12-15 | 516.67 | 810123*******6516 |
| 504 | 刘* | 430624********851X | 50,000.00 | 50,000.00 | 2022-12-15 | 2024-12-15 | 516.67 | 810123*******7021 |
| 505 | 陈*兵 | 430624********8518 | 50,000.00 | 50,000.00 | 2022-12-15 | 2024-12-15 | 516.67 | 810123*******5275 |
| 506 | 汤*国 | 430624********8515 | 50,000.00 | 50,000.00 | 2022-12-17 | 2024-12-17 | 516.67 | 810123*******6811 |
| 507 | 张*斌 | 430624********8918 | 50,000.00 | 50,000.00 | 2022-12-19 | 2024-12-19 | 516.67 | 810123*******8998 |
| 508 | 李*军 | 430624********9532 | 50,000.00 | 50,000.00 | 2023-12-21 | 2024-12-21 | 445.63 | 810123*******5889 |
| 509 | 杨* | 430624********8517 | 50,000.00 | 50,000.00 | 2022-12-26 | 2024-12-26 | 516.67 | 810123*******6196 |
| 510 | 谭*良 | 430624********8993 | 30,000.00 | 30,000.00 | 2023-01-06 | 2025-01-06 | 310.00 | 810123*******1356 |
| 511 | 易*明 | 430624********8935 | 50,000.00 | 50,000.00 | 2023-01-11 | 2025-01-11 | 516.67 | 810123*******1617 |
| 512 | 易*良 | 430624********891X | 50,000.00 | 50,000.00 | 2023-01-11 | 2025-01-11 | 516.67 | 810123*******1628 |
| 513 | 杨* | 430624********851X | 50,000.00 | 50,000.00 | 2024-01-11 | 2025-01-11 | 445.63 | 810123*******1885 |
| 514 | 蒋*梅 | 430624********894X | 50,000.00 | 50,000.00 | 2023-01-17 | 2025-01-17 | 516.67 | 810123*******3860 |
| 515 | 欧*荣 | 430624********8543 | 50,000.00 | 50,000.00 | 2023-01-17 | 2025-01-17 | 516.67 | 810123*******4084 |
| 516 | 黄* | 430624********8934 | 50,000.00 | 50,000.00 | 2023-02-01 | 2025-02-01 | 516.67 | 810123*******0158 |
| 517 | 任*良 | 430624********8938 | 50,000.00 | 50,000.00 | 2023-02-14 | 2025-02-14 | 516.67 | 810123*******5367 |
| 518 | 刘* | 430624********0057 | 50,000.00 | 50,000.00 | 2024-02-19 | 2025-02-19 | 445.63 | 810123*******9776 |
| 519 | 肖*青 | 430624********8521 | 50,000.00 | 50,000.00 | 2024-02-20 | 2025-02-20 | 445.63 | 810123*******4944 |
| 520 | 侯*红 | 430624********8917 | 50,000.00 | 50,000.00 | 2024-03-05 | 2025-03-05 | 445.63 | 810123*******4130 |
| 521 | 夏*平 | 430624********8524 | 50,000.00 | 50,000.00 | 2023-03-17 | 2025-03-17 | 516.67 | 810123*******9320 |
| 522 | 刘*家 | 430624********8933 | 50,000.00 | 50,000.00 | 2024-04-22 | 2025-04-22 | 431.25 | 810123*******0170 |
| 523 | 李*军 | 430624********8916 | 50,000.00 | 50,000.00 | 2022-04-29 | 2025-04-29 | 510.21 | 810123*******1786 |
| 524 | 李*宇 | 430624********8510 | 50,000.00 | 50,000.00 | 2023-05-09 | 2025-05-09 | 516.67 | 810123*******6192 |
| 525 | 徐*清 | 430624********8537 | 50,000.00 | 50,000.00 | 2024-05-09 | 2025-05-09 | 445.63 | 810123*******4881 |
| 526 | 谢*亮 | 430624********8931 | 50,000.00 | 50,000.00 | 2024-05-10 | 2025-05-10 | 445.63 | 810123*******2292 |
| 527 | 余*兵 | 430624********8914 | 50,000.00 | 50,000.00 | 2024-05-14 | 2025-05-14 | 445.63 | 810123*******2269 |
| 528 | 姚*军 | 430624********8930 | 50,000.00 | 50,000.00 | 2024-05-27 | 2025-05-27 | 431.25 | 810123*******0261 |
| 529 | 李* | 430624********8517 | 50,000.00 | 50,000.00 | 2024-05-29 | 2025-05-29 | 445.63 | 810123*******9284 |
| 530 | 周* | 430624********8912 | 50,000.00 | 50,000.00 | 2024-05-29 | 2025-05-29 | 445.63 | 810123*******9295 |
| 531 | 彭*庚 | 430624********8511 | 30,000.00 | 30,000.00 | 2023-06-07 | 2025-06-07 | 310.00 | 810123*******6470 |
| 532 | 曾*宇 | 430624********8957 | 50,000.00 | 50,000.00 | 2023-07-27 | 2025-07-27 | 503.75 | 810123*******1965 |
| 533 | 易* | 430624********8330 | 50,000.00 | 50,000.00 | 2023-08-03 | 2025-08-03 | 503.75 | 810123*******6414 |
| 534 | 石*明 | 430624********8715 | 30,000.00 | 30,000.00 | 2023-09-12 | 2025-09-12 | 303.60 | 810123*******7145 |
| 535 | 肖* | 430624********8716 | 30,000.00 | 30,000.00 | 2023-11-07 | 2025-11-07 | 303.60 | 810123*******7893 |
| 536 | 石*书 | 430902********4551 | 40,000.00 | 40,000.00 | 2023-10-27 | 2025-10-27 | 404.80 | 810123*******2062 |
| 537 | 周*庚 | 430624********8717 | 40,000.00 | 40,000.00 | 2023-11-01 | 2025-11-01 | 404.80 | 810123*******8252 |
| 538 | 周*杰 | 430624********8716 | 40,000.00 | 40,000.00 | 2023-10-26 | 2025-10-26 | 404.80 | 810123*******7773 |
| 539 | 钟* | 430624********8717 | 40,000.00 | 40,000.00 | 2023-10-13 | 2025-10-13 | 404.80 | 810123*******8365 |
| 540 | 李*祥 | 430624********8717 | 40,000.00 | 40,000.00 | 2023-10-09 | 2025-10-09 | 404.80 | 810123*******8412 |
| 541 | 李* | 430624********8736 | 40,000.00 | 40,000.00 | 2023-09-18 | 2025-09-18 | 404.80 | 810123*******2828 |
| 542 | 秦* | 430624********9128 | 50,000.00 | 50,000.00 | 2023-02-14 | 2025-02-14 | 506.00 | 810123*******3409 |
| 543 | 曾*文 | 430624********9178 | 50,000.00 | 50,000.00 | 2023-08-17 | 2025-08-17 | 506.00 | 810123*******2554 |
| 544 | 李*华 | 430624********8713 | 50,000.00 | 50,000.00 | 2023-10-09 | 2025-10-09 | 506.00 | 810123*******8773 |
| 545 | 邓*里 | 430624********913X | 50,000.00 | 50,000.00 | 2023-10-10 | 2025-10-10 | 506.00 | 810123*******6261 |
| 546 | 徐*喜 | 430624********8778 | 50,000.00 | 50,000.00 | 2023-09-28 | 2025-09-28 | 506.00 | 810123*******9137 |
| 547 | 邓*华 | 430624********9112 | 50,000.00 | 50,000.00 | 2023-06-26 | 2025-06-26 | 506.00 | 810123*******3874 |
| 548 | 彭*良 | 430624********8714 | 50,000.00 | 50,000.00 | 2023-09-23 | 2025-09-23 | 506.00 | 810123*******8161 |
| 549 | 支*丰 | 430624********873X | 50,000.00 | 50,000.00 | 2024-01-10 | 2026-01-10 | 506.00 | 810123*******6032 |
| 550 | 刘* | 430624********9150 | 50,000.00 | 50,000.00 | 2023-05-25 | 2025-05-25 | 506.00 | 810123*******9919 |
| 551 | 李*兵 | 430624********8957 | 50,000.00 | 50,000.00 | 2023-06-05 | 2025-06-05 | 506.00 | 810123*******8784 |
| 552 | 赵* | 430624********9112 | 50,000.00 | 50,000.00 | 2023-06-06 | 2025-06-06 | 506.00 | 810123*******4471 |
| 553 | 支*礼 | 430624********8715 | 50,000.00 | 50,000.00 | 2023-06-06 | 2025-06-06 | 506.00 | 810123*******7081 |
| 554 | 姚*平 | 430624********8731 | 30,000.00 | 30,000.00 | 2023-12-01 | 2025-12-01 | 303.60 | 810123*******9288 |
| 555 | 陈*光 | 430624********8738 | 30,000.00 | 30,000.00 | 2023-11-14 | 2025-11-14 | 303.60 | 810123*******7054 |
| 556 | 李*强 | 430624********8736 | 40,000.00 | 40,000.00 | 2023-12-04 | 2025-12-04 | 404.80 | 810123*******8105 |
| 557 | 杨*奇 | 430624********8712 | 40,000.00 | 40,000.00 | 2023-12-01 | 2025-12-01 | 404.80 | 810123*******5345 |
| 558 | 林*万 | 430624********9336 | 40,000.00 | 40,000.00 | 2023-11-23 | 2025-11-23 | 404.80 | 810123*******7598 |
| 559 | 周* | 430624********8713 | 40,000.00 | 40,000.00 | 2023-11-06 | 2025-11-06 | 404.80 | 810123*******8592 |
| 560 | 李* | 430624********9134 | 40,000.00 | 40,000.00 | 2023-12-13 | 2025-12-13 | 404.80 | 810123*******0645 |
| 561 | 杨*全 | 430624********8737 | 40,000.00 | 40,000.00 | 2023-12-14 | 2025-12-14 | 404.80 | 810123*******9618 |
| 562 | 鲍*明 | 430624********0074 | 50,000.00 | 50,000.00 | 2022-11-10 | 2024-11-10 | 506.00 | 810123*******2962 |
| 563 | 陈*良 | 430624********9114 | 50,000.00 | 50,000.00 | 2022-10-28 | 2024-10-28 | 506.00 | 810123*******4612 |
| 564 | 张*林 | 430624********9114 | 50,000.00 | 50,000.00 | 2022-10-21 | 2024-10-21 | 506.00 | 810123*******6054 |
| 565 | 唐*花 | 430624********912X | 50,000.00 | 50,000.00 | 2023-11-21 | 2025-11-21 | 506.00 | 810123*******6570 |
| 566 | 邓*远 | 430624********913X | 50,000.00 | 50,000.00 | 2023-03-20 | 2025-03-20 | 506.00 | 810123*******2644 |
| 567 | 李* | 430624********8713 | 50,000.00 | 50,000.00 | 2024-03-01 | 2026-03-01 | 460.00 | 810123*******1518 |
| 568 | 李*波 | 430624********9737 | 50,000.00 | 50,000.00 | 2023-10-25 | 2025-10-25 | 506.00 | 810123*******8615 |
| 569 | 肖*满 | 430624********8715 | 50,000.00 | 50,000.00 | 2023-08-29 | 2025-08-29 | 506.00 | 810123*******7349 |
| 570 | 彭* | 430624********9156 | 50,000.00 | 50,000.00 | 2023-08-29 | 2025-08-29 | 506.00 | 810123*******3057 |
| 571 | 邓*如 | 430624********9331 | 50,000.00 | 50,000.00 | 2022-09-01 | 2024-09-01 | 506.00 | 810123*******2860 |
| 572 | 王*福 | 430624********8716 | 50,000.00 | 50,000.00 | 2024-02-01 | 2026-02-01 | 506.00 | 810123*******9595 |
| 573 | 朱* | 430624********871X | 50,000.00 | 50,000.00 | 2023-12-22 | 2025-12-22 | 506.00 | 810123*******7091 |
| 574 | 龚*先 | 430624********911X | 50,000.00 | 50,000.00 | 2023-06-26 | 2025-06-26 | 506.00 | 810123*******6341 |
| 575 | 李*明 | 430624********8757 | 50,000.00 | 50,000.00 | 2023-09-27 | 2025-09-27 | 506.00 | 810123*******8762 |
| 576 | 李* | 430624********9120 | 50,000.00 | 50,000.00 | 2023-09-27 | 2025-09-27 | 506.00 | 810123*******8961 |
| 577 | 李*兰 | 430624********8722 | 50,000.00 | 50,000.00 | 2024-01-18 | 2026-01-18 | 506.00 | 810123*******8954 |
| 578 | 李*喜 | 430624********9335 | 50,000.00 | 50,000.00 | 2023-06-16 | 2025-06-16 | 506.00 | 810123*******7485 |
| 579 | 朱*武 | 430624********8738 | 50,000.00 | 50,000.00 | 2023-09-18 | 2025-09-18 | 506.00 | 810123*******8660 |
| 580 | 黄*意 | 430624********8715 | 50,000.00 | 50,000.00 | 2023-12-18 | 2025-12-18 | 506.00 | 810123*******6238 |
| 581 | 陈*云 | 430624********8734 | 50,000.00 | 50,000.00 | 2023-12-18 | 2025-12-18 | 506.00 | 810123*******7677 |
| 582 | 蒯* | 430624********8710 | 50,000.00 | 50,000.00 | 2023-12-14 | 2025-12-14 | 506.00 | 810123*******6725 |
| 583 | 林*根 | 430624********8752 | 50,000.00 | 50,000.00 | 2023-12-14 | 2025-12-14 | 506.00 | 810123*******9346 |
| 584 | 李*文 | 430624********8737 | 50,000.00 | 50,000.00 | 2023-07-25 | 2025-07-25 | 506.00 | 810123*******7116 |
| 585 | 石*良 | 430624********8735 | 20,000.00 | 20,000.00 | 2024-03-14 | 2026-03-14 | 202.40 | 810123*******7236 |
| 586 | 甘*文 | 430624********971X | 50,000.00 | 50000 | 2023-06-19 | 2024-06-19 | 461.32 | 810123*******0813 |
| 587 | 甘*波 | 430624********9718 | 50,000.00 | 50,000.00 | 2022-04-13 | 2024-04-13 | 450.04 | 810123*******5721 |
| 588 | 黄* | 430624********7535 | 30000 | 30000 | 20230822 | 20240822 | 267.38 | 810123*******4253 |
| 589 | 余*阳 | 430624********7519 | 50000 | 50000 | 20231113 | 20241113 | 445.63 | 810123*******3310 |
| 590 | 刘*春 | 430624********7516 | 40000 | 40000 | 20231110 | 20241110 | 356.50 | 810123*******6010 |
| 591 | 杨*庚 | 430624********7517 | 50000 | 50000 | 20231018 | 20241018 | 445.63 | 810123*******3706 |
| 592 | 范*国 | 430624********7516 | 40000 | 40000 | 20231007 | 20241007 | 356.50 | 810123*******5992 |
| 593 | 汤*建 | 430624********7516 | 50000 | 50000 | 20230926 | 20240926 | 445.63 | 810123*******0541 |
| 594 | 汤*清 | 430624********7537 | 50000 | 50000 | 20231011 | 20241011 | 445.63 | 810123*******4109 |
| 595 | 汤*武 | 430624********7510 | 50000 | 50000 | 20231220 | 20241220 | 445.63 | 810123*******6293 |
| 596 | 刘*伏 | 430624********7518 | 40000 | 40000 | 20231229 | 20241229 | 356.50 | 810123*******3069 |
| 597 | 谭*兵 | 430624********7517 | 50000 | 50000 | 20231211 | 20241211 | 445.63 | 810123*******2453 |
| 598 | 龙*良 | 430624********7518 | 50000 | 50000 | 20230828 | 20240828 | 445.63 | 810123*******3127 |
| 599 | 程*良 | 430624********7532 | 50000 | 50000 | 20231117 | 20241117 | 445.63 | 810123*******3944 |
| 600 | 杨*明 | 430624********7513 | 40000 | 40000 | 20240227 | 20250227 | 356.50 | 810123*******8036 |
| 601 | 刘*华 | 430624********7516 | 50000 | 50000 | 20230627 | 20240627 | 458.54 | 810123*******5884 |
| 602 | 陈* | 430624********7516 | 50000 | 50000 | 20230621 | 20240621 | 458.54 | 810123*******6059 |
| 603 | 熊*国 | 430624********7518 | 50000 | 50000 | 20231128 | 20241128 | 445.63 | 810123*******3478 |
| 604 | 卢*明 | 430624********7519 | 50000 | 50000 | 20231128 | 20241128 | 445.63 | 810123*******4461 |
| 605 | 汤*平 | 430624********7518 | 50000 | 50000 | 20231129 | 20241129 | 445.63 | 810123*******4223 |
| 606 | 陈*安 | 430624********7519 | 50000 | 50000 | 20230619 | 20240619 | 471.46 | 810123*******2747 |
| 607 | 何* | 430624********7534 | 50000 | 50000 | 20230721 | 20240721 | 458.54 | 810123*******6071 |
| 608 | 卢*清 | 430624********7514 | 50000 | 50000 | 20230718 | 20240718 | 458.54 | 810123*******4052 |
| 609 | 陈* | 430624********201X | 40,000.00 | 40,000.00 | 2022-05-26 | 2023-12-26 | 397.48 | 810123*******5620 |
| 610 | 陈*凯 | 430624********2430 | 50,000.00 | 50,000.00 | 2022-06-21 | 2023-12-21 | 397.48 | 810123*******0812 |
| 611 | 黄*燕 | 430624********2449 | 50,000.00 | 50,000.00 | 2022-11-28 | 2023-12-28 | 496.85 | 810123*******7662 |
| 612 | 廖*平 | 430624********2030 | 40,000.00 | 40,000.00 | 2022-08-29 | 2023-12-19 | 397.48 | 810123*******1588 |
| 613 | 刘* | 430624********2458 | 50,000.00 | 50,000.00 | 2020-12-11 | 2022-12-11 | 397.48 | 810123*******7719 |
| 614 | 刘* | 430624********2113 | 50,000.00 | 50,000.00 | 2022-06-07 | 2023-12-07 | 397.48 | 810123*******3063 |
| 615 | 刘*红 | 430624********2018 | 40,000.00 | 40,000.00 | 2022-05-27 | 2023-12-27 | 397.48 | 810123*******1792 |
| 616 | 刘*平 | 430624********2039 | 50,000.00 | 50,000.00 | 2022-09-30 | 2023-12-30 | 397.48 | 810123*******2424 |
| 617 | 刘* | 430624********2120 | 25,000.00 | 25,000.00 | 2022-11-29 | 2024-11-29 | 232.50 | 810123*******7695 |
| 618 | 刘* | 430624********2410 | 50,000.00 | 50,000.00 | 2024-02-18 | 2026-02-18 | 496.85 | 810123*******0618 |
| 619 | 刘*香 | 430624********2440 | 30,000.00 | 30,000.00 | 2022-08-01 | 2023-12-01 | 298.11 | 810123*******0073 |
| 620 | 苏* | 430624********2425 | 50,000.00 | 50,000.00 | 2022-06-06 | 2023-12-06 | 397.48 | 810123*******9953 |
| 621 | 危*军 | 430624********2014 | 50,000.00 | 50,000.00 | 2022-06-06 | 2023-12-06 | 397.48 | 810123*******5919 |
| 622 | 吴*新 | 430624********201X | 40,000.00 | 40,000.00 | 2020-10-13 | 2022-10-13 | 397.48 | 810123*******2015 |
| 623 | 熊*军 | 430624********2413 | 9,000.00 | 9,000.00 | 2022-09-27 | 2023-12-27 | 89.43 | 810123*******1180 |
| 624 | 杨*红 | 430624********2078 | 50,000.00 | 50,000.00 | 2022-06-17 | 2023-12-17 | 397.48 | 810123*******1375 |
| 625 | 杨* | 430624********2011 | 50,000.00 | 50,000.00 | 2022-11-16 | 2023-12-16 | 397.48 | 810123*******7297 |
| 626 | 易*良 | 430624********2455 | 50,000.00 | 50,000.00 | 2022-05-11 | 2023-12-11 | 496.85 | 810123*******2197 |
| 627 | 易* | 430624********2430 | 30,000.00 | 30,000.00 | 2022-09-27 | 2023-12-27 | 298.11 | 810123*******0903 |
| 628 | 殷* | 430624********241X | 20,000.00 | 20,000.00 | 2023-12-24 | 2025-12-24 | 198.74 | 810123*******6130 |
| 629 | 雍* | 430624********2477 | 50,000.00 | 50,000.00 | 2023-12-20 | 2025-12-20 | 496.85 | 810123*******4549 |
| 630 | 袁*良 | 430624********2043 | 50,000.00 | 50,000.00 | 2022-06-09 | 2023-09-09 | 496.85 | 810123*******7708 |
| 631 | 周*卫 | 430624********2078 | 50,000.00 | 50,000.00 | 2022-05-27 | 2023-12-27 | 397.48 | 810123*******1827 |
| 632 | 周*辉 | 430624********2034 | 50,000.00 | 50,000.00 | 2020-12-17 | 2022-12-17 | 496.85 | 810123*******1690 |
| 633 | 周* | 430624********2453 | 50,000.00 | 50,000.00 | 2022-08-15 | 2023-12-15 | 496.85 | 810123*******7193 |
| 634 | 朱*军 | 430624********2437 | 30,000.00 | 30,000.00 | 2020-12-14 | 2022-12-14 | 298.11 | 810123*******9986 |
| 635 | 张*球 | 430624********6913 | 50000 | 50000 | 2024/4/19 | 2025/12/19 | 341.25 | 810123*******0949 |
| 636 | 张*平 | 430624********6914 | 50000 | 50000 | 2024/3/9 | 2025/12/9 | 466.39 | 810123*******6297 |
| 637 | 张*辉 | 430624********7363 | 50000 | 50000 | 2024/2/29 | 2025/12/29 | 466.39 | 810123*******6286 |
| 638 | 晏*良 | 430624********6913 | 50000 | 50000 | 2024/2/28 | 2025/12/28 | 466.39 | 810123*******6970 |
| 639 | 周*坤 | 430624********9636 | 50000 | 50000 | 2024/2/27 | 2025/12/27 | 466.39 | 810123*******1566 |
| 640 | 汤*红 | 430624********6927 | 40000 | 40000 | 2024/2/5 | 2025/12/5 | 398.67 | 810123*******0389 |
| 641 | 邓*生 | 430624********6911 | 30000 | 30000 | 2024/1/25 | 2025/11/25 | 299.00 | 810123*******5283 |
| 642 | 周*明 | 430624********6934 | 50000 | 50000 | 2024/1/19 | 2025/11/19 | 498.34 | 810123*******8932 |
| 643 | 汤*毛 | 430624********6931 | 50000 | 50000 | 2024/1/10 | 2025/11/10 | 498.34 | 810123*******6151 |
| 644 | 龙*明 | 430624********6915 | 40000 | 40000 | 2024/1/8 | 2025/11/8 | 398.67 | 810123*******6989 |
| 645 | 柴*辉 | 430624********6919 | 50000 | 50000 | 2023/12/30 | 2025/11/30 | 498.34 | 810123*******2927 |
| 646 | 陈*军 | 430624********6918 | 30000 | 30000 | 2023/12/28 | 2025/11/28 | 299.00 | 810123*******6336 |
| 647 | 周*良 | 430624********6916 | 50000 | 50000 | 2023/12/27 | 2025/11/27 | 498.34 | 810123*******6854 |
| 648 | 温*群 | 430624********6942 | 40000 | 40000 | 2023/12/26 | 2025/11/26 | 398.67 | 810123*******7746 |
| 649 | 李*球 | 430624********6916 | 40000 | 40000 | 2023/12/23 | 2025/11/23 | 398.67 | 810123*******5261 |
| 650 | 凤*云 | 430624********691X | 50000 | 50000 | 2023/12/22 | 2025/11/22 | 498.34 | 810123*******6377 |
| 651 | 李*春 | 430624********6945 | 50000 | 50000 | 2023/12/21 | 2025/11/21 | 498.34 | 810123*******9987 |
| 652 | 张*凡 | 430624********6919 | 50000 | 50000 | 2023/12/21 | 2025/12/21 | 498.34 | 810123*******9998 |
| 653 | 袁*科 | 430624********6935 | 50000 | 50000 | 2023/12/21 | 2025/12/21 | 498.34 | 810123*******5243 |
| 654 | 蒋*红 | 430624********6920 | 50000 | 50000 | 2023/12/21 | 2025/11/21 | 498.34 | 810123*******4775 |
| 655 | 邹*宇 | 430624********6950 | 40000 | 40000 | 2023/12/20 | 2025/11/20 | 398.67 | 810123*******7481 |
| 656 | 熊*辉 | 430624********6930 | 40000 | 40000 | 2023/12/20 | 2025/11/20 | 398.67 | 810123*******7020 |
| 657 | 汤*和 | 430624********6918 | 20000 | 20000 | 2023/12/20 | 2025/11/20 | 199.34 | 810123*******6093 |
| 658 | 汤*元 | 430624********6928 | 40000 | 40000 | 2023/12/18 | 2025/12/18 | 398.67 | 810123*******7414 |
| 659 | 曾* | 430624********6911 | 30000 | 30000 | 2023/12/18 | 2025/12/18 | 299.00 | 810123*******8227 |
| 660 | 夏*辉 | 430624********6911 | 50000 | 50000 | 2023/12/18 | 2025/11/18 | 498.34 | 810123*******0017 |
| 661 | 徐*华 | 430624********6913 | 50000 | 50000 | 2023/12/7 | 2025/12/7 | 498.34 | 810123*******5691 |
| 662 | 陈*良 | 430624********6974 | 40000 | 40000 | 2023/12/5 | 2025/12/5 | 398.67 | 810123*******6898 |
| 663 | 夏*红 | 430624********6911 | 50000 | 50000 | 2023/12/5 | 2025/12/5 | 498.34 | 810123*******4846 |
| 664 | 汤*辉 | 430624********6912 | 50000 | 50000 | 2023/12/4 | 2025/12/4 | 498.34 | 810123*******9954 |
| 665 | 夏*娥 | 430624********6925 | 40000 | 40000 | 2023/12/4 | 2025/12/4 | 398.67 | 810123*******7469 |
| 666 | 欧*辉 | 430624********6916 | 50000 | 50000 | 2023/12/4 | 2025/12/4 | 498.34 | 810123*******5012 |
| 667 | 彭*民 | 430624********6917 | 30000 | 30000 | 2023/11/20 | 2025/11/20 | 299.00 | 810123*******6934 |
| 668 | 罗* | 430624********9335 | 50000 | 50000 | 2023/11/8 | 2024/11/8 | 440.84 | 810123*******0028 |
| 669 | 安*德 | 430624********6314 | 10,000.00 | 10,000.00 | 2023-07-28 | 2025-07-28 | 97.23 | 810123*******7922 |
| 670 | 陈* | 430624********9768 | 30,000.00 | 30,000.00 | 2023-08-22 | 2025-08-22 | 291.70 | 810123*******9771 |
| 671 | 陈*光 | 430624********6311 | 50,000.00 | 50,000.00 | 2023-10-17 | 2025-10-17 | 486.16 | 810123*******6587 |
| 672 | 陈*云 | 430624********8732 | 50,000.00 | 50,000.00 | 2023-09-28 | 2025-09-28 | 486.16 | 810123*******2693 |
| 673 | 陈*高 | 430624********6312 | 50,000.00 | 50,000.00 | 2023-05-18 | 2025-05-18 | 498.63 | 810123*******6441 |
| 674 | 但*良 | 430624********631X | 40,000.00 | 40,000.00 | 2022-11-17 | 2024-11-17 | 398.90 | 810123*******8744 |
| 675 | 邓*阳 | 430624********5910 | 50,000.00 | 50,000.00 | 2022-06-21 | 2024-06-21 | 517.33 | 810123*******7105 |
| 676 | 邓*华 | 430624********6319 | 50,000.00 | 50,000.00 | 2023-06-21 | 2025-06-21 | 486.16 | 810123*******5947 |
| 677 | 邓*理 | 430624********6316 | 50,000.00 | 50,000.00 | 2022-10-11 | 2024-10-11 | 498.63 | 810145*******9976 |
| 678 | 范*明 | 430624********5715 | 50,000.00 | 50,000.00 | 2023-07-14 | 2025-07-13 | 486.16 | 810123*******5801 |
| 679 | 侯* | 430624********631X | 50,000.00 | 50,000.00 | 2023-06-27 | 2025-06-27 | 486.16 | 810123*******6791 |
| 680 | 胡*军 | 430624********6334 | 50,000.00 | 50,000.00 | 2023-06-28 | 2025-06-28 | 486.16 | 810123*******7387 |
| 681 | 胡* | 430624********6319 | 50,000.00 | 50,000.00 | 2023-01-11 | 2025-01-11 | 498.63 | 810123*******8009 |
| 682 | 胡* | 430624********6319 | 50,000.00 | 50,000.00 | 2023-07-28 | 2025-07-28 | 486.16 | 810123*******6928 |
| 683 | 胡*山 | 430624********6319 | 50,000.00 | 50,000.00 | 2023-05-26 | 2025-05-26 | 498.63 | 810123*******6054 |
| 684 | 胡*康 | 430624********631X | 50,000.00 | 50,000.00 | 2023-08-16 | 2025-08-16 | 486.16 | 810123*******6076 |
| 685 | 黄*泉 | 430624********6310 | 50,000.00 | 50,000.00 | 2023-06-29 | 2025-06-29 | 486.16 | 810123*******8686 |
| 686 | 黄*龙 | 430624********6312 | 50,000.00 | 50,000.00 | 2022-10-22 | 2024-10-22 | 498.63 | 810123*******8021 |
| 687 | 黄*文 | 430624********6317 | 50,000.00 | 50,000.00 | 2023-06-07 | 2025-06-07 | 498.63 | 810123*******8449 |
| 688 | 黄*武 | 430624********6310 | 50,000.00 | 50,000.00 | 2023-08-10 | 2025-08-10 | 486.16 | 810123*******8427 |
| 689 | 李*祥 | 430624********6312 | 50,000.00 | 50,000.00 | 2022-12-23 | 2024-12-23 | 498.63 | 810123*******8461 |
| 690 | 李* | 430624********938X | 50,000.00 | 50,000.00 | 2023-11-10 | 2025-11-10 | 486.16 | 810123*******0016 |
| 691 | 李* | 430624********6315 | 30,000.00 | 30,000.00 | 2023-08-29 | 2025-08-29 | 291.70 | 810123*******5867 |
| 692 | 李*军 | 430624********6314 | 50,000.00 | 50,000.00 | 2023-06-01 | 2025-06-01 | 498.63 | 810123*******5823 |
| 693 | 李* | 430624********6396 | 30,000.00 | 30,000.00 | 2023-11-21 | 2025-11-21 | 291.70 | 810123*******7991 |
| 694 | 李*山 | 430624********6310 | 50,000.00 | 50,000.00 | 2024-06-05 | 2025-06-05 | 430.07 | 810123*******6750 |
| 695 | 刘*财 | 430624********9757 | 20,000.00 | 20,000.00 | 2023-05-12 | 2025-05-12 | 199.45 | 810123*******8711 |
| 696 | 刘*良 | 430624********6330 | 50,000.00 | 50,000.00 | 2023-08-30 | 2025-08-30 | 486.16 | 810123*******7569 |
| 697 | 刘*宇 | 430624********6314 | 50,000.00 | 50,000.00 | 2023-10-17 | 2025-10-17 | 486.16 | 810123*******8369 |
| 698 | 刘*伟 | 430624********6315 | 40,000.00 | 40,000.00 | 2023-10-27 | 2025-10-27 | 388.93 | 810123*******7310 |
| 699 | 卢*球 | 430624********631X | 50,000.00 | 50,000.00 | 2023-09-26 | 2025-09-26 | 486.16 | 810123*******8507 |
| 700 | 罗*良 | 430624********6336 | 40,000.00 | 40,000.00 | 2023-03-25 | 2025-03-25 | 398.90 | 810123*******7478 |
| 701 | 罗*良 | 430624********6313 | 50,000.00 | 50,000.00 | 2023-09-19 | 2025-09-19 | 486.16 | 810123*******8450 |
| 702 | 罗*良 | 430624********6311 | 50,000.00 | 50,000.00 | 2023-06-01 | 2025-06-01 | 498.63 | 810123*******7489 |
| 703 | 彭* | 430624********6319 | 50,000.00 | 50,000.00 | 2023-08-04 | 2025-08-04 | 486.16 | 810123*******8873 |
| 704 | 彭* | 430624********6313 | 50,000.00 | 50,000.00 | 2023-07-19 | 2025-07-19 | 486.16 | 810123*******8862 |
| 705 | 彭*元 | 430624********6328 | 50,000.00 | 50,000.00 | 2023-08-16 | 2025-08-15 | 486.16 | 810123*******4131 |
| 706 | 彭*辉 | 430624********6333 | 50,000.00 | 50,000.00 | 2023-08-01 | 2025-08-01 | 486.16 | 810123*******8223 |
| 707 | 彭*林 | 430624********9950 | 30,000.00 | 30,000.00 | 2023-04-03 | 2025-04-03 | 299.18 | 810123*******8461 |
| 708 | 任*祥 | 430624********6336 | 50,000.00 | 50,000.00 | 2023-06-30 | 2025-06-30 | 486.16 | 810123*******2494 |
| 709 | 任*林 | 430624********6312 | 50,000.00 | 50,000.00 | 2023-11-06 | 2025-11-06 | 486.16 | 810123*******6554 |
| 710 | 任*辉 | 430624********6327 | 50,000.00 | 50,000.00 | 2023-12-23 | 2025-12-23 | 486.16 | 810123*******4972 |
| 711 | 任*平 | 430624********6315 | 50,000.00 | 50,000.00 | 2022-10-09 | 2024-10-09 | 498.63 | 810123*******7467 |
| 712 | 任*立 | 430624********6314 | 50,000.00 | 50,000.00 | 2023-12-30 | 2025-12-30 | 486.16 | 810123*******8381 |
| 713 | 任*胡 | 430624********6314 | 50,000.00 | 50,000.00 | 2023-10-19 | 2025-10-19 | 486.16 | 810123*******8841 |
| 714 | 苏* | 430624********6369 | 30,000.00 | 30,000.00 | 2023-12-01 | 2025-12-01 | 291.70 | 810123*******8121 |
| 715 | 苏*旺 | 430624********6311 | 50,000.00 | 50,000.00 | 2023-08-11 | 2025-08-11 | 486.16 | 810123*******6173 |
| 716 | 汤*军 | 430624********6314 | 50,000.00 | 50,000.00 | 2023-09-18 | 2025-09-18 | 486.16 | 810123*******6430 |
| 717 | 王* | 430624********6319 | 40,000.00 | 40,000.00 | 2023-10-01 | 2025-10-01 | 388.93 | 810123*******8574 |
| 718 | 王*良 | 430624********6312 | 50,000.00 | 50,000.00 | 2022-06-14 | 2024-06-14 | 483.22 | 810123*******8267 |
| 719 | 王*东 | 430624********6310 | 30,000.00 | 30,000.00 | 2022-11-25 | 2024-11-25 | 299.18 | 810123*******8370 |
| 720 | 王* | 430624********6319 | 30,000.00 | 30,000.00 | 2023-03-22 | 2026-03-22 | 299.18 | 810123*******7490 |
| 721 | 王* | 430624********6314 | 20,000.00 | 20,000.00 | 2022-12-16 | 2024-12-16 | 199.45 | 810123*******7955 |
| 722 | 王*五 | 430624********633X | 50,000.00 | 50,000.00 | 2023-06-23 | 2025-06-23 | 486.16 | 810123*******6882 |
| 723 | 吴*皇 | 430624********9451 | 50,000.00 | 50,000.00 | 2023-05-06 | 2025-05-06 | 498.63 | 810123*******7897 |
| 724 | 严*良 | 430624********6357 | 50,000.00 | 50,000.00 | 2023-10-26 | 2025-10-26 | 486.16 | 810123*******7321 |
| 725 | 阳*兵 | 430624********6315 | 40,000.00 | 40,000.00 | 2023-11-14 | 2025-11-14 | 388.93 | 810123*******7456 |
| 726 | 杨*和 | 430624********6318 | 40,000.00 | 40,000.00 | 2023-09-22 | 2025-09-22 | 388.93 | 810123*******8096 |
| 727 | 杨*林 | 430624********6313 | 50,000.00 | 50,000.00 | 2022-10-11 | 2024-10-11 | 498.63 | 810123*******8187 |
| 728 | 叶*军 | 430624********6337 | 30,000.00 | 30,000.00 | 2023-11-13 | 2025-11-13 | 291.70 | 810123*******2864 |
| 729 | 余*霞 | 430624********6325 | 50,000.00 | 50,000.00 | 2022-11-15 | 2024-11-15 | 498.63 | 810123*******9410 |
| 730 | 张*兰 | 430624********6535 | 50,000.00 | 50,000.00 | 2023-09-28 | 2025-09-28 | 486.16 | 810123*******7138 |
| 731 | 张* | 430624********6313 | 30,000.00 | 30,000.00 | 2023-09-01 | 2025-09-01 | 291.70 | 810123*******6906 |
| 732 | 张*交 | 430624********6317 | 30,000.00 | 30,000.00 | 2024-01-29 | 2026-01-29 | 291.70 | 810123*******8074 |
| 733 | 张* | 430624********9734 | 50,000.00 | 50,000.00 | 2023-11-21 | 2025-11-21 | 486.16 | 810123*******9000 |
| 734 | 张*祥 | 430624********633X | 50,000.00 | 50,000.00 | 2024-01-31 | 2026-01-31 | 486.16 | 810123*******4352 |
| 735 | 张*贵 | 430624********5734 | 50,000.00 | 50,000.00 | 2023-07-14 | 2025-07-13 | 486.16 | 810123*******7309 |
| 736 | 张*军 | 430624********6319 | 50,000.00 | 50,000.00 | 2023-07-14 | 2025-07-13 | 486.16 | 810123*******6724 |
| 737 | 张*平 | 430624********6311 | 50,000.00 | 50,000.00 | 2024-01-08 | 2026-01-08 | 486.16 | 810123*******7842 |
| 738 | 郑*春 | 430624********6318 | 50,000.00 | 50,000.00 | 2024-04-17 | 2025-04-17 | 430.07 | 810123*******8518 |
| 739 | 周*伍 | 430624********6319 | 50,000.00 | 50,000.00 | 2023-12-08 | 2025-12-08 | 486.16 | 810123*******7819 |
| 740 | 朱*波 | 430624********6356 | 50,000.00 | 50,000.00 | 2023-10-24 | 2025-10-23 | 486.16 | 810123*******7003 |
| 741 | 朱*鹏 | 430624********6315 | 50,000.00 | 50,000.00 | 2023-10-17 | 2025-10-17 | 486.16 | 810123*******6995 |
| 742 | 左*云 | 430624********6323 | 50,000.00 | 50,000.00 | 2023-06-30 | 2025-06-30 | 486.16 | 810123*******2890 |
| 743 | 杨*芝 | 430624********6321 | 40,000.00 | 40,000.00 | 2024-01-16 | 2026-01-16 | 388.93 | 810123*******2161 |
| 744 | 张*辉 | 430624********6318 | 50,000.00 | 50,000.00 | 2024-01-30 | 2026-01-30 | 486.16 | 810123*******6655 |
| 745 | 任*辉 | 430624********6314 | 50,000.00 | 50,000.00 | 2023-12-15 | 2025-12-15 | 486.16 | 810123*******7183 |
| 746 | 任*元 | 430624********6363 | 30,000.00 | 30,000.00 | 2024-01-26 | 2026-01-26 | 291.70 | 810123*******6811 |
| 747 | 黄*兵 | 430624********3812 | 5,000.00 | 5,000.00 | 2023-06-27 | 2024-06-27 | 44.56 | 810123*******8600 |
| 748 | 周*祥 | 430624********3813 | 20,000.00 | 20,000.00 | 2023-07-12 | 2024-07-12 | 178.25 | 810123*******8392 |
| 749 | 黄*兵 | 430624********3819 | 50,000.00 | 50,000.00 | 2023-07-26 | 2024-07-26 | 445.63 | 810123*******1827 |
| 750 | 柳* | 430624********3836 | 40,000.00 | 40,000.00 | 2023-07-27 | 2024-07-27 | 366.83 | 810123*******9453 |
| 751 | 何*军 | 430624********3819 | 20,000.00 | 20,000.00 | 2023-07-28 | 2024-07-28 | 183.42 | 810123*******9599 |
| 752 | 何*祥 | 430624********3810 | 50,000.00 | 50,000.00 | 2023-08-16 | 2024-08-16 | 445.63 | 810123*******9204 |
| 753 | 邵* | 430624********3813 | 10,000.00 | 10,000.00 | 2023-08-25 | 2024-08-25 | 89.13 | 810123*******9612 |
| 754 | 甘*祥 | 430624********9332 | 50,000.00 | 50,000.00 | 2023-08-25 | 2024-08-25 | 445.63 | 810123*******9293 |
| 755 | 单*平 | 430624********3823 | 50,000.00 | 50,000.00 | 2023-09-11 | 2024-09-11 | 445.63 | 810123*******8284 |
| 756 | 兰*明 | 430624********3813 | 50,000.00 | 50,000.00 | 2023-10-13 | 2024-10-13 | 445.63 | 810123*******8212 |
| 757 | 黎*迈 | 430624********3813 | 50,000.00 | 50,000.00 | 2023-10-18 | 2024-10-18 | 445.63 | 810123*******8722 |
| 758 | 楚*权 | 430624********383X | 50,000.00 | 50,000.00 | 2023-10-19 | 2024-10-19 | 445.63 | 810123*******8880 |
| 759 | 邵*国 | 430624********387X | 30,000.00 | 30,000.00 | 2023-11-09 | 2024-11-09 | 267.38 | 810123*******9863 |
| 760 | 周*林 | 430624********3818 | 50,000.00 | 50,000.00 | 2023-11-13 | 2024-11-13 | 445.63 | 810123*******9996 |
| 761 | 黎*军 | 430624********3815 | 50,000.00 | 40,000.00 | 2023-11-17 | 2024-11-17 | 356.50 | 810123*******8303 |
| 762 | 黄*龙 | 430624********3834 | 50,000.00 | 50,000.00 | 2023-11-23 | 2024-11-23 | 445.63 | 810123*******3607 |
| 763 | 黄*龙 | 430624********3852 | 50,000.00 | 50,000.00 | 2023-11-23 | 2024-11-23 | 445.63 | 810123*******9894 |
| 764 | 伏*桃 | 430624********3833 | 50,000.00 | 50,000.00 | 2023-11-23 | 2024-11-23 | 445.63 | 810123*******9340 |
| 765 | 钟*艳 | 430624********3864 | 50,000.00 | 50,000.00 | 2023-11-29 | 2024-11-29 | 445.63 | 810123*******7204 |
| 766 | 黄*林 | 430624********9732 | 40,000.00 | 40,000.00 | 2023-12-01 | 2024-12-01 | 356.50 | 810123*******9497 |
| 767 | 马*平 | 430624********387X | 40,000.00 | 40,000.00 | 2023-12-01 | 2024-12-01 | 356.50 | 810123*******8121 |
| 768 | 邵* | 430624********0094 | 50,000.00 | 50,000.00 | 2023-12-03 | 2024-12-03 | 445.63 | 810123*******4362 |
| 769 | 黄*龙 | 430624********3833 | 50,000.00 | 50,000.00 | 2023-12-04 | 2024-12-04 | 445.63 | 810123*******9781 |
| 770 | 黎* | 430624********3815 | 50,000.00 | 50,000.00 | 2023-12-04 | 2024-12-04 | 445.63 | 810123*******6801 |
| 771 | 周*元 | 430624********9729 | 50,000.00 | 50,000.00 | 2023-12-05 | 2024-12-05 | 445.63 | 810123*******0676 |
| 772 | 杜*辉 | 430624********381X | 10,000.00 | 10,000.00 | 2023-12-06 | 2024-12-06 | 89.13 | 810123*******9588 |
| 773 | 朱*军 | 430624********3835 | 40,000.00 | 40,000.00 | 2023-12-06 | 2024-12-06 | 356.50 | 810123*******8461 |
| 774 | 邵* | 430624********3813 | 40,000.00 | 40,000.00 | 2023-12-06 | 2024-12-06 | 356.50 | 810123*******8278 |
| 775 | 马*泉 | 430624********3818 | 50,000.00 | 50,000.00 | 2023-12-06 | 2024-12-06 | 445.63 | 810123*******7394 |
| 776 | 黄*和 | 430624********3819 | 40,000.00 | 40,000.00 | 2023-12-06 | 2024-12-06 | 356.50 | 810123*******8381 |
| 777 | 周*伟 | 430624********381X | 50,000.00 | 50,000.00 | 2023-12-07 | 2024-11-07 | 445.63 | 810123*******0005 |
| 778 | 黄*华 | 430624********3816 | 50,000.00 | 50,000.00 | 2023-12-08 | 2024-11-08 | 445.63 | 810123*******8576 |
| 779 | 黄*波 | 430624********3836 | 50,000.00 | 50,000.00 | 2023-12-08 | 2024-11-08 | 445.63 | 810123*******4210 |
| 780 | 付*桃 | 430624********3833 | 50,000.00 | 50,000.00 | 2023-12-08 | 2024-11-08 | 445.63 | 810123*******9351 |
| 781 | 傅*赞 | 430624********3819 | 50,000.00 | 50,000.00 | 2023-12-08 | 2024-11-08 | 445.63 | 810123*******8982 |
| 782 | 邵*华 | 430624********3840 | 40,000.00 | 40,000.00 | 2023-12-08 | 2024-11-08 | 356.50 | 810123*******8802 |
| 783 | 黄* | 430624********3817 | 50,000.00 | 50,000.00 | 2023-12-08 | 2024-12-08 | 445.63 | 810123*******8382 |
| 784 | 李* | 430624********3880 | 50,000.00 | 50,000.00 | 2023-12-11 | 2024-11-11 | 445.63 | 810123*******1418 |
| 785 | 罗*伟 | 430624********3839 | 50,000.00 | 50,000.00 | 2023-12-11 | 2024-11-11 | 445.63 | 810123*******8144 |
| 786 | 黎*皇 | 430624********3823 | 50,000.00 | 50,000.00 | 2023-12-11 | 2024-11-11 | 445.63 | 810123*******8293 |
| 787 | 楚* | 430624********3813 | 20,000.00 | 20,000.00 | 2023-12-12 | 2024-11-12 | 178.25 | 810123*******8926 |
| 788 | 周*亮 | 430624********3831 | 40,000.00 | 40,000.00 | 2023-12-12 | 2024-11-12 | 356.50 | 810123*******9850 |
| 789 | 何*龙 | 430624********3834 | 50,000.00 | 50,000.00 | 2023-12-12 | 2024-11-12 | 445.63 | 810123*******6823 |
| 790 | 楚*先 | 430624********3836 | 50,000.00 | 50,000.00 | 2023-12-12 | 2024-11-12 | 445.63 | 810123*******8937 |
| 791 | 黎*新 | 430624********3837 | 50,000.00 | 50,000.00 | 2023-12-13 | 2024-11-13 | 445.63 | 810123*******8733 |
| 792 | 楚* | 430624********3833 | 50,000.00 | 50,000.00 | 2023-12-15 | 2024-11-15 | 445.63 | 810123*******8317 |
| 793 | 邵*玉 | 430624********3016 | 50,000.00 | 50,000.00 | 2023-12-15 | 2024-11-15 | 445.63 | 810123*******6612 |
| 794 | 郭*辉 | 430624********8761 | 50,000.00 | 50,000.00 | 2023-12-15 | 2024-11-15 | 445.63 | 810123*******8339 |
| 795 | 尹*勇 | 430624********3814 | 50,000.00 | 50,000.00 | 2023-12-15 | 2024-11-15 | 445.63 | 810123*******9044 |
| 796 | 谷*香 | 430624********3841 | 50,000.00 | 50,000.00 | 2023-12-18 | 2024-11-18 | 445.63 | 623090*******569696 |
| 797 | 李*军 | 430624********3855 | 50,000.00 | 50,000.00 | 2023-12-18 | 2024-11-18 | 458.54 | 810123*******7967 |
| 798 | 周* | 430624********3813 | 40,000.00 | 40,000.00 | 2023-12-18 | 2024-11-18 | 366.83 | 810123*******9963 |
| 799 | 邵*武 | 430624********3834 | 50,000.00 | 50,000.00 | 2023-12-19 | 2024-11-19 | 445.63 | 810123*******8282 |
| 800 | 周*科 | 430624********3811 | 50,000.00 | 50,000.00 | 2023-12-20 | 2024-11-20 | 445.63 | 810123*******9000 |
| 801 | 黄*争 | 430624********3831 | 40,000.00 | 40,000.00 | 2024-01-04 | 2024-11-04 | 356.50 | 810123*******6929 |
| 802 | 甘*安 | 430624********3854 | 45,000.00 | 45,000.00 | 2024-01-05 | 2025-01-05 | 401.06 | 810123*******9384 |
| 803 | 周* | 430624********4037 | 50,000.00 | 50,000.00 | 2024-01-11 | 2024-12-11 | 458.54 | 810123*******8271 |
| 804 | 赵*军 | 430624********3814 | 30,000.00 | 30,000.00 | 2024-01-26 | 2025-01-26 | 267.38 | 810123*******5427 |
| 805 | 马*娥 | 430624********3824 | 50,000.00 | 50,000.00 | 2024-01-29 | 2025-01-29 | 445.63 | 810123*******2391 |
| 806 | 杨*根 | 430624********3818 | 50,000.00 | 50,000.00 | 2024-03-04 | 2025-03-04 | 445.63 | 623090*******532439 |
| 807 | 兰*光 | 430624********9735 | 40,000.00 | 40,000.00 | 2024-03-11 | 2025-03-11 | 356.50 | 810123*******1822 |
| 808 | 鲁*如 | 430624********3832 | 50,000.00 | 50,000.00 | 2024-03-19 | 2025-03-19 | 553.54 | 810123*******9339 |
| 809 | 周* | 430624********3813 | 50,000.00 | 50,000.00 | 2024-03-26 | 2025-03-26 | 519.88 | 810123*******9849 |
| 810 | 张*伟 | 430624********931X | 50,000.00 | 50,000.00 | 2023-06-15 | 2024-06-15 | 431.00 | 810123*******5719 |
| 811 | 伍*珍 | 430624********9382 | 50,000.00 | 50,000.00 | 2023-06-15 | 2024-06-15 | 431.00 | 810123*******6941 |
| 812 | 刘*学 | 430624********9330 | 50,000.00 | 50,000.00 | 2023-06-27 | 2024-06-27 | 449.00 | 810123*******1600 |
| 813 | 刘*青 | 430624********9310 | 50,000.00 | 50,000.00 | 2023-06-28 | 2024-06-28 | 449.00 | 810123*******1112 |
| 814 | 周*兰 | 430624********9342 | 50,000.00 | 50,000.00 | 2023-06-29 | 2024-06-29 | 449.00 | 810123*******3674 |
| 815 | 张*青 | 430624********9317 | 50,000.00 | 50,000.00 | 2023-07-11 | 2024-07-11 | 449.00 | 810123*******3368 |
| 816 | 吴*林 | 430624********9311 | 50,000.00 | 50,000.00 | 2023-07-11 | 2024-07-11 | 449.00 | 810123*******3396 |
| 817 | 代*飞 | 430624********9332 | 50,000.00 | 50,000.00 | 2023-07-12 | 2024-07-12 | 449.00 | 810123*******5651 |
| 818 | 王*书 | 430624********9336 | 25,000.00 | 25,000.00 | 2023-07-28 | 2024-07-28 | 225.00 | 810123*******1837 |
| 819 | 刘*花 | 430624********9363 | 40,000.00 | 40,000.00 | 2023-08-01 | 2024-08-01 | 359.00 | 810123*******2116 |
| 820 | 张*兵 | 430624********9335 | 50,000.00 | 50,000.00 | 2023-08-01 | 2024-08-01 | 449.00 | 810123*******4472 |
| 821 | 戴*忠 | 430624********9359 | 50,000.00 | 50,000.00 | 2023-08-02 | 2024-08-02 | 449.00 | 810123*******5742 |
| 822 | 代*华 | 430624********9323 | 50,000.00 | 50,000.00 | 2023-08-04 | 2024-08-04 | 449.00 | 810123*******1749 |
| 823 | 张*珍 | 430624********9326 | 50,000.00 | 50,000.00 | 2023-08-10 | 2024-08-10 | 449.00 | 810123*******2040 |
| 824 | 封*生 | 430624********9337 | 50,000.00 | 50,000.00 | 2023-08-11 | 2024-08-11 | 449.00 | 810123*******8313 |
| 825 | 何*春 | 430624********9338 | 30,000.00 | 30,000.00 | 2023-08-14 | 2024-08-14 | 270.00 | 810123*******5469 |
| 826 | 梁*吾 | 430624********935X | 50,000.00 | 50,000.00 | 2023-08-14 | 2024-08-14 | 449.00 | 810123*******3595 |
| 827 | 陈* | 430624********9310 | 50,000.00 | 50,000.00 | 2023-08-14 | 2024-08-14 | 449.00 | 810123*******1521 |
| 828 | 何* | 430624********9312 | 50,000.00 | 50,000.00 | 2023-08-15 | 2024-08-15 | 449.00 | 810123*******5278 |
| 829 | 张*凡 | 430624********933X | 50,000.00 | 50,000.00 | 2023-08-21 | 2024-08-21 | 449.00 | 810123*******2105 |
| 830 | 陈*平 | 430624********9352 | 50,000.00 | 50,000.00 | 2023-08-21 | 2024-08-21 | 449.00 | 810123*******1688 |
| 831 | 戴*辉 | 430624********9315 | 50,000.00 | 50,000.00 | 2023-08-23 | 2024-08-23 | 437.00 | 810123*******9871 |
| 832 | 陈*华 | 430624********9327 | 50,000.00 | 50,000.00 | 2023-08-24 | 2024-08-24 | 437.00 | 810123*******1917 |
| 833 | 苏*文 | 430624********9311 | 50,000.00 | 50,000.00 | 2023-08-25 | 2024-08-25 | 437.00 | 810123*******7422 |
| 834 | 梁*武 | 430624********9316 | 50,000.00 | 50,000.00 | 2023-08-28 | 2024-08-28 | 437.00 | 810123*******2354 |
| 835 | 刘*开 | 430624********9314 | 25,000.00 | 25,000.00 | 2023-08-30 | 2024-08-30 | 219.00 | 810123*******3380 |
| 836 | 张*平 | 430624********9517 | 40,000.00 | 40,000.00 | 2023-08-30 | 2024-08-30 | 349.00 | 810123*******1305 |
| 837 | 张* | 430624********9314 | 50,000.00 | 50,000.00 | 2023-08-31 | 2024-08-31 | 437.00 | 810123*******6076 |
| 838 | 胡*明 | 430624********0079 | 50,000.00 | 50,000.00 | 2023-09-04 | 2024-09-04 | 437.00 | 810123*******7000 |
| 839 | 周*长 | 430624********9318 | 50,000.00 | 50,000.00 | 2023-09-12 | 2024-09-12 | 437.00 | 810123*******1576 |
| 840 | 孟*三 | 430624********9355 | 20,000.00 | 20,000.00 | 2023-09-22 | 2024-09-22 | 175.00 | 810123*******1666 |
| 841 | 汪*忠 | 430624********931X | 50,000.00 | 50,000.00 | 2023-09-22 | 2024-09-22 | 437.00 | 810123*******1027 |
| 842 | 龙*华 | 430624********9345 | 50,000.00 | 50,000.00 | 2023-09-25 | 2024-09-25 | 437.00 | 810123*******6065 |
| 843 | 张* | 430624********9317 | 30,000.00 | 30,000.00 | 2023-09-26 | 2024-09-26 | 262.00 | 810123*******3742 |
| 844 | 伍*生 | 430624********9313 | 13,000.00 | 13,000.00 | 2023-09-28 | 2024-09-28 | 114.00 | 810123*******7262 |
| 845 | 刘*德 | 430624********933X | 20,000.00 | 20,000.00 | 2023-09-28 | 2024-09-28 | 175.00 | 810123*******6815 |
| 846 | 刘*长 | 430624********931X | 50,000.00 | 50,000.00 | 2023-09-28 | 2024-09-28 | 437.00 | 810123*******5684 |
| 847 | 成*华 | 430624********9337 | 50,000.00 | 50,000.00 | 2023-09-29 | 2024-09-29 | 437.00 | 810123*******7388 |
| 848 | 张*华 | 430624********9319 | 50,000.00 | 50,000.00 | 2023-09-29 | 2024-09-29 | 437.00 | 810123*******2999 |
| 849 | 周* | 430624********9316 | 50,000.00 | 50,000.00 | 2023-10-07 | 2024-10-07 | 437.00 | 810123*******7319 |
| 850 | 陈*元 | 430624********9346 | 50,000.00 | 50,000.00 | 2023-10-12 | 2024-10-12 | 437.00 | 810123*******4570 |
| 851 | 马*华 | 430624********9319 | 50,000.00 | 50,000.00 | 2023-10-19 | 2024-10-19 | 437.00 | 810123*******1225 |
| 852 | 罗*波 | 430624********9337 | 50,000.00 | 50,000.00 | 2023-10-20 | 2024-10-20 | 437.00 | 810123*******7206 |
| 853 | 张*华 | 430624********9313 | 50,000.00 | 50,000.00 | 2023-10-27 | 2024-10-27 | 437.00 | 810123*******5594 |
| 854 | 梁*云 | 430624********9320 | 50,000.00 | 50,000.00 | 2023-11-07 | 2024-11-07 | 437.00 | 810123*******6863 |
| 855 | 邹*飞 | 430624********9319 | 50,000.00 | 50,000.00 | 2023-11-09 | 2024-11-09 | 437.00 | 810123*******2277 |
| 856 | 刘*红 | 430624********9754 | 50,000.00 | 50,000.00 | 2023-11-09 | 2024-11-09 | 437.00 | 810123*******0275 |
| 857 | 何*生 | 430624********9314 | 50,000.00 | 50,000.00 | 2023-11-13 | 2024-11-13 | 437.00 | 810123*******5993 |
| 858 | 周*平 | 430624********9316 | 50,000.00 | 50,000.00 | 2023-11-20 | 2024-11-20 | 437.00 | 810123*******2263 |
| 859 | 何*术 | 430624********9334 | 50,000.00 | 50,000.00 | 2023-11-20 | 2024-11-20 | 437.00 | 810123*******2296 |
| 860 | 张*新 | 430624********9310 | 50,000.00 | 50,000.00 | 2023-11-21 | 2024-11-21 | 437.00 | 810123*******3222 |
| 861 | 刘*春 | 430624********9338 | 50,000.00 | 50,000.00 | 2023-11-29 | 2024-11-29 | 437.00 | 623090*******550795 |
| 862 | 梁*美 | 430624********9318 | 50,000.00 | 50,000.00 | 2023-12-04 | 2024-12-04 | 437.00 | 810123*******2365 |
| 863 | 刘*秀 | 430624********933X | 50,000.00 | 50,000.00 | 2023-12-05 | 2024-12-05 | 437.00 | 810123*******1611 |
| 864 | 梁*长 | 430624********9333 | 50,000.00 | 50,000.00 | 2023-12-11 | 2024-12-11 | 437.00 | 810123*******8040 |
| 865 | 刘* | 430624********9319 | 50,000.00 | 50,000.00 | 2023-12-15 | 2024-12-15 | 437.00 | 810123*******0297 |
| 866 | 周* | 430624********9318 | 40,000.00 | 40,000.00 | 2023-12-18 | 2024-12-18 | 349.00 | 810123*******2070 |
| 867 | 卿*长 | 430624********9311 | 50,000.00 | 50,000.00 | 2023-12-18 | 2024-12-18 | 437.00 | 810123*******7284 |
| 868 | 刘*辉 | 430624********9317 | 50,000.00 | 50,000.00 | 2023-12-22 | 2024-12-22 | 437.00 | 810123*******5775 |
| 869 | 刘*忠 | 430624********9310 | 11,500.00 | 11,500.00 | 2023-12-27 | 2024-12-27 | 101.00 | 810123*******3363 |
| 870 | 刘*华 | 430624********9333 | 50,000.00 | 50,000.00 | 2023-12-28 | 2024-12-28 | 437.00 | 810123*******1576 |
| 871 | 周*吾 | 430624********9315 | 50,000.00 | 50,000.00 | 2024-01-15 | 2025-01-15 | 437.00 | 810123*******7594 |
| 872 | 苏*辉 | 430624********9314 | 50,000.00 | 50,000.00 | 2024-01-16 | 2025-01-16 | 437.00 | 810123*******0843 |
| 873 | 汪*松 | 430624********9313 | 50,000.00 | 50,000.00 | 2024-01-26 | 2025-01-26 | 437.00 | 810123*******9440 |
| 874 | 苏*榕 | 430624********9310 | 20,000.00 | 20,000.00 | 2024-02-06 | 2025-02-06 | 175.00 | 810123*******1984 |
| 875 | 张*香 | 430624********9326 | 40,000.00 | 40,000.00 | 2024-02-07 | 2025-02-07 | 349.00 | 810123*******6098 |
| 876 | 何* | 430624********9333 | 50,000.00 | 50,000.00 | 2024-02-18 | 2025-02-18 | 437.00 | 810123*******8291 |
| 877 | 何*志 | 430624********9319 | 50,000.00 | 50,000.00 | 2024-02-18 | 2025-02-18 | 437.00 | 810123*******7738 |
| 878 | 伍*中 | 430624********9311 | 50,000.00 | 50,000.00 | 2024-02-28 | 2025-02-28 | 437.00 | 810123*******1156 |
| 879 | 卿*彪 | 430624********931X | 50,000.00 | 50,000.00 | 2024-03-05 | 2025-03-05 | 437.00 | 810123*******4232 |
| 880 | 周*民 | 430624********9352 | 50,000.00 | 50,000.00 | 2024-03-08 | 2025-03-08 | 437.00 | 810123*******2755 |
| 881 | 苏* | 430624********9316 | 50,000.00 | 50,000.00 | 2024-03-11 | 2025-03-11 | 437.00 | 623090*******751612 |
| 882 | 赵*花 | 430624********9340 | 50,000.00 | 50,000.00 | 2024-03-11 | 2025-03-11 | 437.00 | 810123*******3618 |
| 883 | 成*平 | 430624********9350 | 50,000.00 | 50,000.00 | 2024-03-13 | 2025-03-13 | 437.00 | 810123*******1882 |
| 884 | 周*辉 | 430624********9315 | 50,000.00 | 50,000.00 | 2024-03-14 | 2025-03-14 | 437.00 | 623090*******753451 |
| 885 | 张*奇 | 430624********9331 | 10,000.00 | 10,000.00 | 2024-03-19 | 2025-03-19 | 88.00 | 810123*******4453 |
| 886 | 刘*龙 | 430624********9317 | 50,000.00 | 50,000.00 | 2024-03-20 | 2025-03-20 | 437.00 | 810123*******5675 |
| 887 | 李*全 | 430624********933X | 50,000.00 | 50,000.00 | 2024-04-10 | 2025-04-10 | 437.00 | 810123*******3812 |
| 888 | 罗*吉 | 430624********9313 | 50,000.00 | 50,000.00 | 2024-04-15 | 2025-04-14 | 437.00 | 810123*******2541 |
| 889 | 刘* | 430624********9312 | 50,000.00 | 50,000.00 | 2024-04-18 | 2025-04-17 | 437.00 | 810123*******0038 |
| 890 | 刘*英 | 432524********3229 | 20,000.00 | 20,000.00 | 2024-04-26 | 2025-04-22 | 108.00 | 810123*******7583 |
| 891 | 陈*辉 | 430624********932X | 40,000.00 | 40,000.00 | 2024-04-24 | 2025-04-24 | 349.00 | 810123*******4707 |
| 892 | 张*云 | 430624********9324 | 50,000.00 | 50,000.00 | 2024-05-07 | 2025-05-07 | 437.00 | 810123*******2584 |
| 893 | 周*林 | 430624********9317 | 50,000.00 | 50,000.00 | 2024-05-09 | 2025-05-09 | 437.00 | 810123*******7331 |
| 894 | 陈*伟 | 430624********9310 | 50,000.00 | 50,000.00 | 2024-05-16 | 2025-05-16 | 173.00 | 810123*******4962 |
| 895 | 张*华 | 430624********9339 | 50,000.00 | 50,000.00 | 2024-05-17 | 2025-05-17 | 473.00 | 810123*******2014 |
| 896 | 戴*安 | 430624********9312 | 50,000.00 | 50,000.00 | 2024-05-20 | 2025-05-20 | 154.00 | 810123*******1474 |
| 897 | 何*新 | 430624********9313 | 50,000.00 | 50,000.00 | 2024-05-24 | 2025-05-24 | 437.00 | 810123*******4479 |
| 898 | 张*忠 | 430624********933X | 50,000.00 | 50,000.00 | 2024-05-29 | 2025-05-29 | 437.00 | 810123*******1995 |
| 899 | 陈*鹏 | 430624********9313 | 50,000.00 | 50,000.00 | 2024-05-29 | 2025-05-29 | 437.00 | 810123*******9882 |
| 900 | 罗*新 | 430624********9311 | 22,000.00 | 22,000.00 | 2024-05-31 | 2025-05-31 | 192.00 | 810123*******2547 |
| 901 | 刘* | 430624********9331 | 50,000.00 | 50,000.00 | 2024-06-05 | 2025-06-05 | 437.00 | 810123*******1436 |
| 902 | 刘*山 | 430624********9317 | 50,000.00 | 50,000.00 | 2024-06-06 | 2025-06-06 | 437.00 | 810123*******2092 |
| 903 | 彭*宏 | 430624********933X | 50,000.00 | 50,000.00 | 2024-06-07 | 2025-06-07 | 437.00 | 810123*******3958 |
| 904 | 戴*军 | 430624********9318 | 45,000.00 | 45,000.00 | 2023-04-28 | 2024-04-28 | 169.00 | 810123*******2343 |
| 905 | 何*辉 | 430624********9332 | 50,000.00 | 50,000.00 | 2023-05-18 | 2024-05-18 | 289.00 | 623090*******758245 |
| 906 | 刘* | 430624********9314 | 50,000.00 | 50,000.00 | 2023-06-02 | 2024-06-02 | 365.00 | 810123*******8847 |
| 907 | 梁* | 430624********9318 | 50,000.00 | 30,000.00 | 2023-06-08 | 2024-06-08 | 238.00 | 810123*******7386 |
| 908 | 何*兵 | 430624********955X | 50,000.00 | 50,000.00 | 2023-06-14 | 2024-06-14 | 426.00 | 810123*******8213 |
| 909 | 江* | 430624********4219 | 16,000.00 | 13,600.00 | 2024-03-01 | 2026-03-01 | 124.10 | 810123*******6115 |
| 910 | 刘*奎 | 430624********4234 | 17,000.00 | 17,000.00 | 2023-09-11 | 2024-09-11 | 146.63 | 810123*******1901 |
| 911 | 刘*光 | 430624********4214 | 17,000.00 | 17,000.00 | 2023-12-13 | 2025-12-13 | 165.75 | 810123*******2122 |
| 912 | 兰* | 430624********4214 | 30,000.00 | 30,000.00 | 2023-08-18 | 2025-08-18 | 292.50 | 810123*******0849 |
| 913 | 李*化 | 430624********4210 | 40,000.00 | 40,000.00 | 2023-11-28 | 2025-11-28 | 390.00 | 810123*******0929 |
| 914 | 周* | 430624********4216 | 40,000.00 | 40,000.00 | 2023-10-27 | 2024-10-27 | 345.00 | 810123*******3192 |
| 915 | 范*华 | 430624********4257 | 50,000.00 | 50,000.00 | 2024-03-04 | 2025-11-04 | 456.25 | 810123*******1741 |
| 916 | 蒋*华 | 430624********4218 | 50,000.00 | 50,000.00 | 2021-06-16 | 2024-06-16 | 543.75 | 810123*******2949 |
| 917 | 周* | 430624********4226 | 50,000.00 | 50,000.00 | 2023-12-26 | 2025-12-26 | 487.50 | 810123*******2019 |
| 918 | 范* | 430624********206X | 50,000.00 | 50,000.00 | 2023-10-09 | 2024-10-09 | 431.25 | 810123*******8177 |
| 919 | 周* | 430624********4233 | 50,000.00 | 50,000.00 | 2023-06-27 | 2025-06-27 | 487.50 | 810123*******2892 |
| 920 | 邹*邦 | 430624********421X | 50,000.00 | 50,000.00 | 2023-12-14 | 2025-12-14 | 487.50 | 810123*******6440 |
| 921 | 徐*军 | 430624********4211 | 29,000.00 | 29,000.00 | 2023-09-12 | 2024-09-12 | 250.13 | 810123*******3657 |
| 922 | 黄* | 430624********4211 | 30,000.00 | 30,000.00 | 2023-12-04 | 2025-12-04 | 292.50 | 810123*******4142 |
| 923 | 陈*星 | 430624********4277 | 30,000.00 | 30,000.00 | 2023-10-10 | 2024-10-10 | 258.75 | 810123*******6068 |
| 924 | 李*勇 | 430624********4211 | 40,000.00 | 40,000.00 | 2023-12-06 | 2025-12-06 | 390.00 | 810123*******3748 |
| 925 | 肖* | 430624********4214 | 40,000.00 | 40,000.00 | 2023-05-29 | 2025-05-29 | 400.00 | 810123*******8699 |
| 926 | 蒋*宇 | 430624********4216 | 50,000.00 | 50,000.00 | 2023-11-21 | 2025-11-21 | 487.50 | 810123*******8562 |
| 927 | 王*奇 | 430624********4254 | 50,000.00 | 50,000.00 | 2021-06-22 | 2024-06-22 | 543.75 | 810123*******6400 |
| 928 | 李*平 | 430624********4215 | 50,000.00 | 50,000.00 | 2024-04-18 | 2025-04-18 | 431.25 | 810123*******4050 |
| 929 | 杨* | 430624********4225 | 50,000.00 | 50,000.00 | 2023-10-30 | 2024-10-30 | 431.25 | 810123*******5529 |
| 930 | 姜* | 430621********8111 | 50,000.00 | 50,000.00 | 2023-07-27 | 2025-07-27 | 487.50 | 810123*******2817 |
| 931 | 杨* | 430624********4216 | 40,000.00 | 40,000.00 | 2023-10-26 | 2024-10-26 | 345.00 | 810123*******1912 |
| 932 | 蒋*波 | 430624********4231 | 40,000.00 | 40,000.00 | 2023-09-08 | 2024-09-08 | 345.00 | 810123*******1945 |
| 933 | 蒋*辉 | 430624********4219 | 40,000.00 | 30,000.00 | 2023-12-14 | 2024-12-14 | 258.75 | 810123*******2031 |
| 934 | 符* | 430624********4216 | 50,000.00 | 50,000.00 | 2024-03-19 | 2025-12-19 | 466.25 | 810123*******0634 |
| 935 | 陈*新 | 430624********5615 | 30,000.00 | 30,000.00 | 2023-08-24 | 2024-08-24 | 264.50 | 810123*******2221 |
| 936 | 周* | 430624********5611 | 40,000.00 | 40,000.00 | 2023-06-09 | 2024-06-09 | 373.11 | '81012*******70448 |
| 937 | 甘* | 430624********5311 | 50,000.00 | 50,000.00 | 2023-07-04 | 2024-07-04 | 453.61 | 810123*******5960 |
| 938 | 蒋*辉 | 430624********5619 | 50,000.00 | 50,000.00 | 2023-08-28 | 2024-08-28 | 440.83 | 810123*******3995 |
| 939 | 蒋*新 | 430624********5316 | 50,000.00 | 50,000.00 | 2023-05-17 | 2024-05-17 | 466.39 | 810123*******7310 |
| 940 | 汪*隆 | 430624********5311 | 50,000.00 | 50,000.00 | 2023-07-26 | 2024-07-26 | 453.61 | 810123*******2332 |
| 941 | 危* | 430624********9750 | 10,000.00 | 10,000.00 | 2023-10-27 | 2024-10-27 | 88.17 | 810123*******2047 |
| 942 | 廖*辉 | 430624********5632 | 10,000.00 | 10,000.00 | 2023-06-21 | 2024-06-21 | 90.72 | 810123*******2314 |
| 943 | 张*罗 | 430624********5658 | 20,000.00 | 20,000.00 | 2023-06-29 | 2024-06-29 | 181.44 | 810123*******1884 |
| 944 | 陈* | 430624********5614 | 20,000.00 | 20,000.00 | 2023-07-10 | 2024-07-10 | 181.44 | 810123*******7243 |
| 945 | 胡* | 430624********5631 | 30,000.00 | 30,000.00 | 2023-12-12 | 2024-12-11 | 264.50 | 810123*******2367 |
| 946 | 陈*祥 | 430624********5316 | 30,000.00 | 30,000.00 | 2023-06-14 | 2024-06-14 | 279.83 | 810123*******7081 |
| 947 | 杨*伍 | 430624********5612 | 30,000.00 | 30,000.00 | 2023-08-10 | 2024-08-10 | 272.17 | '62309*******0759854 |
| 948 | 肖*伟 | 430624********5618 | 40,000.00 | 40,000.00 | 2023-12-08 | 2024-12-08 | 352.67 | 623090*******514965 |
| 949 | 甘*军 | 430624********5311 | 40,000.00 | 40,000.00 | 2023-08-15 | 2024-08-15 | 362.89 | 623090*******512779 |
| 950 | 刘* | 430624********5614 | 40,000.00 | 40,000.00 | 2023-10-09 | 2024-10-09 | 352.67 | 810123*******7210 |
| 951 | 余* | 430624********5613 | 50,000.00 | 49,990.00 | 2023-07-13 | 2024-07-13 | 453.52 | 810123*******8839 |
| 952 | 危* | 430624********8539 | 50,000.00 | 50,000.00 | 2023-09-19 | 2024-09-19 | 440.83 | 810123*******8696 |
| 953 | 彭*军 | 430624********5313 | 50,000.00 | 50,000.00 | 2023-06-02 | 2024-06-02 | 466.39 | 810123*******7047 |
| 954 | 殷*柳 | 430624********5638 | 17,000.00 | 17,000.00 | 2023-07-27 | 2024-07-27 | 154.23 | 810123*******6134 |
| 955 | 陈*平 | 430624********5613 | 20,000.00 | 20,000.00 | 2023-03-28 | 2024-03-28 | 186.56 | 810123*******2210 |
| 956 | 余*斌 | 430624********5616 | 20,000.00 | 20,000.00 | 2023-12-12 | 2024-12-12 | 176.33 | 623090*******513421 |
| 957 | 殷*良 | 430624********5616 | 25,000.00 | 25,000.00 | 2023-12-15 | 2024-12-15 | 220.42 | 810123*******0879 |
| 958 | 甘*光 | 430624********0059 | 30,000.00 | 30,000.00 | 2024-02-29 | 2025-02-28 | 264.50 | '62309*******1512597 |
| 959 | 钟*元 | 430624********561X | 30,000.00 | 30,000.00 | 2023-12-27 | 2024-12-27 | 264.50 | 810123*******1067 |
| 960 | 余*良 | 430624********561X | 30,000.00 | 30,000.00 | 2023-08-15 | 2024-08-15 | 272.17 | 810123*******1216 |
| 961 | 周*敏 | 430624********5612 | 30,000.00 | 30,000.00 | 2024-01-19 | 2025-01-19 | 264.50 | 810123*******3028 |
| 962 | 汪*龙 | 430624********531X | 40,000.00 | 40,000.00 | 2023-08-15 | 2024-08-15 | 362.89 | '81012*******70415 |
| 963 | 汪* | 430624********5351 | 40,000.00 | 40,000.00 | 2023-06-27 | 2024-06-27 | 362.89 | '62309*******1513397 |
| 964 | 甘*辉 | 430624********5337 | 40,000.00 | 40,000.00 | 2024-01-19 | 2025-01-19 | 352.67 | 810123*******6281 |
| 965 | 甘*文 | 430624********5310 | 40,000.00 | 40,000.00 | 2023-07-27 | 2024-07-27 | 362.89 | 623090*******512621 |
| 966 | 余* | 430624********5621 | 50,000.00 | 50,000.00 | 2023-11-15 | 2024-11-15 | 440.83 | '62309*******0750317 |
| 967 | 周*来 | 430624********4611 | 50,000.00 | 50,000.00 | 2023-09-07 | 2024-09-07 | 440.83 | '62309*******1513850 |
| 968 | 刘*伟 | 430624********5615 | 50,000.00 | 50,000.00 | 2023-11-06 | 2024-11-06 | 440.83 | 810123*******6269 |
| 969 | 杨*祥 | 430624********5312 | 50,000.00 | 50,000.00 | 2024-02-21 | 2025-02-21 | 440.83 | 810123*******7490 |
| 970 | 彭*镇 | 430624********5613 | 50,000.00 | 50,000.00 | 2023-06-16 | 2024-06-16 | 422.00 | 810123*******6442 |
| 971 | 王* | 430624********5073 | 30,000.00 | 30,000.00 | 2022-04-30 | 2024-04-30 | 323.00 | 810123*******6769 |
| 972 | 张*良 | 430624********519X | 50,000.00 | 50,000.00 | 2024/4/11 | 2025/4/11 | 538.00 | 810123*******7108 |
| 973 | 李*利 | 430624********5035 | 30,000.00 | 30,000.00 | 2024/4/29 | 2025/4/29 | 323.00 | 810123*******8746 |
| 974 | 王*军 | 430624********5073 | 50,000.00 | 50,000.00 | 2023-05-31 | 2025-05-31 | 512.00 | 810123*******7324 |
| 975 | 刘*坤 | 430624********5072 | 50,000.00 | 50,000.00 | 2023-06-07 | 2025-06-07 | 512.00 | 810123*******6848 |
| 976 | 符*权 | 430624********5071 | 50,000.00 | 50,000.00 | 2023-05-18 | 2025-05-18 | 512.00 | 810123*******3611 |
| 977 | 杨*勇 | 430624********501X | 40,000.00 | 40,000.00 | 2023-06-15 | 2025-06-15 | 409.00 | 810123*******8986 |
| 978 | 陈*新 | 430624********5011 | 40,000.00 | 40,000.00 | 2023-05-24 | 2025-05-24 | 409.00 | 810123*******7300 |
| 979 | 刘*明 | 430624********5018 | 30,000.00 | 30,000.00 | 2023-05-05 | 2025-05-05 | 307.00 | 810123*******7399 |
| 980 | 李*兵 | 430624********5052 | 30,000.00 | 30,000.00 | 2023-06-15 | 2025-06-15 | 307.00 | 810123*******8535 |
| 981 | 焦* | 430624********5017 | 50,000.00 | 50,000.00 | 2023-07-13 | 2025-07-13 | 499.00 | 810123*******8975 |
| 982 | 杨*利 | 430921********6645 | 20,000.00 | 20,000.00 | 2023-07-07 | 2025-07-07 | 200.00 | 810123*******6513 |
| 983 | 刘*恩 | 430624********5036 | 50,000.00 | 50,000.00 | 2023-07-13 | 2025-07-13 | 499.00 | 810123*******8781 |
| 984 | 陶* | 430624********5018 | 20,000.00 | 20,000.00 | 2023-08-03 | 2025-08-03 | 200.00 | 810123*******8703 |
| 985 | 张*华 | 430624********5019 | 10,000.00 | 10,000.00 | 2023-07-28 | 2025-07-28 | 100.00 | 810123*******7095 |
| 986 | 熊*飞 | 430624********3041 | 40,000.00 | 40,000.00 | 2023-10-25 | 2025-10-23 | 399.00 | 810123*******4913 |
| 987 | 李* | 430624********5018 | 50,000.00 | 50,000.00 | 2023-08-11 | 2025-08-11 | 499.00 | 810123*******8022 |
| 988 | 邓*勇 | 430624********5055 | 50,000.00 | 50,000.00 | 2023-08-02 | 2025-08-02 | 499.00 | 810123*******8044 |
| 989 | 陶*勇 | 430624********5073 | 30,000.00 | 30,000.00 | 2023-11-10 | 2025-11-10 | 300.00 | 810123*******9185 |
| 990 | 吴*兵 | 430624********501X | 40,000.00 | 40,000.00 | 2023-09-11 | 2025-09-11 | 399.00 | 810123*******8099 |
| 991 | 邓*军 | 430624********5014 | 50,000.00 | 50,000.00 | 2023-08-04 | 2025-08-04 | 499.00 | 810123*******8135 |
| 992 | 杨* | 430624********5031 | 30,000.00 | 30,000.00 | 2023-07-03 | 2025-07-03 | 300.00 | 810123*******6758 |
| 993 | 王*平 | 430624********501X | 50,000.00 | 50,000.00 | 2023-10-09 | 2025-10-09 | 499.00 | 810123*******5121 |
| 994 | 刘* | 430624********5015 | 30,000.00 | 30,000.00 | 2023-11-10 | 2025-11-09 | 300.00 | 810123*******6750 |
| 995 | 焦*亚 | 430624********5075 | 50,000.00 | 50,000.00 | 2024-03-12 | 2026-03-12 | 467.00 | 810123*******8974 |
| 996 | 龚*球 | 430624********9735 | 20,000.00 | 20,000.00 | 2024-03-04 | 2026-03-04 | 187.00 | 810123*******7595 |
| 997 | 何*红 | 430921********2648 | 50,000.00 | 50,000.00 | 2023-12-18 | 2025-12-18 | 499.00 | 810123*******6157 |
| 998 | 陈* | 430624********9753 | 50,000.00 | 50,000.00 | 2023-12-22 | 2025-12-22 | 499.00 | 810123*******7142 |
| 999 | 吴*兵 | 430624********5013 | 20000.00 | 20000 | 2024/3/14 | 2026/3/14 | 187.00 | 810123*******0902 |
| 1000 | 郭*辉 | 430624********8111 | 40,000.00 | 40,000.00 | 20231030 | 20241030 | 355.00 | 810123*******1536 |
| 1001 | 王*军 | 430624********8116 | 50,000.00 | 50,000.00 | 20230901 | 20240901 | 445.00 | 810123*******2321 |
| 1002 | 王*龄 | 430624********8117 | 50,000.00 | 50,000.00 | 20230905 | 20240905 | 445.00 | 810123*******1490 |
| 1003 | 张*庚 | 430624********8115 | 50,000.00 | 50,000.00 | 20240330 | 20250330 | 445.00 | 810123*******2453 |
| 1004 | 张* | 430624********1634 | 50,000.00 | 50,000.00 | 2023/8/28 | 2024/8/28 | 432.00 | 810123*******4040 |
| 1005 | 李*华 | 430624********1611 | 40,000.00 | 40,000.00 | 2023-10-16 | 2024-10-16 | 345.00 | 623090*******743197 |
| 1006 | 谭*牛 | 430624********0013 | 30,000.00 | 30,000.00 | 2023-09-27 | 2024-09-27 | 259.00 | 623090*******744302 |
| 1007 | 周*军 | 430624********1616 | 40,000.00 | 40,000.00 | 2023-10-13 | 2024-10-13 | 345.00 | 623090*******742868 |
| 1008 | 颜*军 | 430624********975X | 40,000.00 | 40,000.00 | 2023-10-13 | 2024-10-13 | 345.00 | 810123*******0244 |
| 1009 | 李*高 | 430624********2315 | 50,000.00 | 50,000.00 | 2023-12-29 | 2024-12-10 | 432.00 | 810123*******6884 |
| 1010 | 张*根 | 430624********2252 | 20,000.00 | 20,000.00 | 2023-11-06 | 2024-11-06 | 173.00 | 810123*******6873 |
| 1011 | 吴*波 | 430624********2215 | 50,000.00 | 50,000.00 | 2024-01-10 | 2025-01-10 | 432.00 | 623090*******745861 |
| 1012 | 罗*强 | 430624********229X | 50,000.00 | 50,000.00 | 2024-01-10 | 2025-01-10 | 432.00 | 623090*******744757 |
| 1013 | 曾*红 | 430624********1613 | 40,000.00 | 40,000.00 | 2023-12-08 | 2024-12-08 | 345.00 | 810123*******6636 |
| 1014 | 杨*辉 | 430624********221X | 50,000.00 | 50,000.00 | 2024-03-12 | 2025-03-12 | 432.00 | 810123*******7048 |
| 1015 | 陈*辉 | 430624********6733 | 50,000.00 | 50,000.00 | 2024-02-05 | 2025-02-05 | 440.83 | 810123*******7341 |
| 1016 | 陈* | 430624********731X | 50,000.00 | 50,000.00 | 2023-12-30 | 2024-12-30 | 440.83 | 810123*******2070 |
| 1017 | 陈*保 | 430624********731X | 40,000.00 | 40,000.00 | 2024-01-17 | 2025-01-17 | 352.67 | 810123*******6370 |
| 1018 | 陈*祥 | 430624********6733 | 40,000.00 | 40,000.00 | 2023-12-19 | 2024-12-19 | 352.67 | 810123*******7323 |
| 1019 | 陈* | 430624********6719 | 50,000.00 | 50,000.00 | 2023-07-05 | 2024-07-05 | 453.61 | 810123*******2748 |
| 1020 | 陈* | 430624********6771 | 50,000.00 | 50,000.00 | 2023-12-19 | 2024-12-19 | 440.83 | 810123*******7363 |
| 1021 | 淳*良 | 430624********6755 | 50,000.00 | 50,000.00 | 2023-12-30 | 2024-12-30 | 440.83 | 810123*******8061 |
| 1022 | 淳*明 | 430624********6771 | 50,000.00 | 50,000.00 | 2023-11-16 | 2024-11-15 | 440.83 | 810123*******8072 |
| 1023 | 邓*锋 | 430624********7334 | 50,000.00 | 50,000.00 | 2023-11-28 | 2024-11-28 | 440.83 | 810123*******1925 |
| 1024 | 范* | 430624********6734 | 50,000.00 | 50,000.00 | 2023-12-21 | 2024-12-21 | 440.83 | 810123*******3527 |
| 1025 | 方* | 430624********7316 | 50,000.00 | 50,000.00 | 2023-12-29 | 2024-12-29 | 440.83 | 810123*******0982 |
| 1026 | 高*平 | 430624********7315 | 50,000.00 | 50,000.00 | 2023-12-30 | 2024-12-30 | 440.83 | 810123*******0954 |
| 1027 | 胡*辉 | 430624********677X | 50,000.00 | 50,000.00 | 2023-12-19 | 2024-12-19 | 440.83 | 810123*******7410 |
| 1028 | 胡*华 | 430624********6717 | 50,000.00 | 50,000.00 | 2024-04-11 | 2025-04-11 | 340.21 | ******* |
| 1029 | 胡*军 | 430624********6711 | 50,000.00 | 50,000.00 | 2023-11-27 | 2024-11-27 | 440.83 | 810123*******8852 |
| 1030 | 胡*灿 | 430624********6717 | 10,000.00 | 10,000.00 | 2023-12-21 | 2024-12-21 | 88.17 | 810123*******6052 |
| 1031 | 胡*庚 | 430624********6756 | 50,000.00 | 50,000.00 | 2024-02-04 | 2025-02-04 | 440.83 | 810123*******6381 |
| 1032 | 胡*平 | 430624********6791 | 30,000.00 | 30,000.00 | 2023-11-28 | 2024-11-28 | 264.50 | 810123*******6744 |
| 1033 | 胡*祥 | 430624********7311 | 40,000.00 | 40,000.00 | 2023-12-22 | 2024-12-22 | 352.67 | 810123*******6358 |
| 1034 | 胡*辉 | 430624********6734 | 50,000.00 | 50,000.00 | 2023-12-20 | 2024-12-20 | 440.83 | 810123*******7465 |
| 1035 | 胡*国 | 430624********6711 | 50,000.00 | 50,000.00 | 2023-12-19 | 2024-12-19 | 440.83 | 810123*******6959 |
| 1036 | 黄*国 | 430624********7311 | 50,000.00 | 50,000.00 | 2023-12-26 | 2024-12-26 | 440.83 | 810123*******1743 |
| 1037 | 江*帆 | 430624********7359 | 40,000.00 | 40,000.00 | 2023-12-12 | 2024-12-12 | 352.67 | 810123*******0580 |
| 1038 | 康*兰 | 430624********7363 | 50,000.00 | 50,000.00 | 2023-06-26 | 2024-06-26 | 384.58 | 810123*******0269 |
| 1039 | 黎*光 | 430624********7316 | 40,000.00 | 40,000.00 | 2023-12-21 | 2024-12-21 | 352.67 | 810123*******1936 |
| 1040 | 李*全 | 430624********6717 | 50,000.00 | 50,000.00 | 2023-12-26 | 2024-12-26 | 440.83 | 810123*******7312 |
| 1041 | 李*秀 | 430624********6728 | 50,000.00 | 50,000.00 | 2023-12-30 | 2024-12-30 | 440.83 | 623090*******522364 |
| 1042 | 李*明 | 430624********7372 | 50,000.00 | 50,000.00 | 2023-12-19 | 2024-12-19 | 440.83 | 810123*******2055 |
| 1043 | 李*坤 | 430624********6713 | 50,000.00 | 50,000.00 | 2023-12-31 | 2024-12-31 | 440.83 | 810123*******7330 |
| 1044 | 刘*伍 | 430624********6719 | 40,000.00 | 40,000.00 | 2023-12-11 | 2024-12-11 | 352.67 | 810123*******6201 |
| 1045 | 刘*伟 | 430624********7310 | 50,000.00 | 50,000.00 | 2023-11-21 | 2024-11-21 | 440.83 | 810123*******2450 |
| 1046 | 刘*根 | 430624********6735 | 40,000.00 | 40,000.00 | 2023-12-25 | 2024-12-25 | 352.67 | 810123*******6449 |
| 1047 | 刘* | 430624********6713 | 50,000.00 | 50,000.00 | 2023-12-25 | 2024-12-25 | 440.83 | 810123*******3640 |
| 1048 | 刘*云 | 430624********7325 | 50,000.00 | 50,000.00 | 2024-04-10 | 2025-04-10 | 345.00 | ******* |
| 1049 | 刘* | 430624********7312 | 50,000.00 | 50,000.00 | 2023-12-28 | 2024-12-28 | 440.83 | 810123*******0749 |
| 1050 | 刘*军 | 430624********6716 | 40,000.00 | 40,000.00 | 2023-12-12 | 2024-12-12 | 352.67 | 810123*******7367 |
| 1051 | 龙*文 | 430624********7339 | 40,000.00 | 40,000.00 | 2023-12-06 | 2024-12-06 | 352.67 | 810123*******2044 |
| 1052 | 彭*华 | 430624********6717 | 50,000.00 | 50,000.00 | 2024-02-21 | 2025-02-19 | 440.83 | 810123*******6653 |
| 1053 | 瞿*群 | 430624********680X | 40,000.00 | 40,000.00 | 2023-12-01 | 2024-12-01 | 352.67 | 810123*******9793 |
| 1054 | 覃*海 | 513022********5917 | 40,000.00 | 40,000.00 | 2024-01-02 | 2025-01-02 | 352.67 | 810123*******7345 |
| 1055 | 汤*泉 | 430624********6710 | 10,000.00 | 10,000.00 | 2023-12-21 | 2024-12-21 | 88.17 | 623090*******253075 |
| 1056 | 汤*祥 | 430624********6717 | 40,000.00 | 40,000.00 | 2023-12-06 | 2024-12-06 | 352.67 | 810123*******6267 |
| 1057 | 汤*泉 | 430624********6711 | 50,000.00 | 50,000.00 | 2024-05-14 | 2025-05-14 | 455.83 | 810123*******8118 |
| 1058 | 王*明 | 430624********731X | 50,000.00 | 50,000.00 | 2023-06-06 | 2024-06-06 | 344.72 | 810123*******6021 |
| 1059 | 王*兵 | 430624********733X | 50,000.00 | 50,000.00 | 2023-11-30 | 2024-11-30 | 440.83 | 810123*******0807 |
| 1060 | 王* | 430624********7350 | 50,000.00 | 50,000.00 | 2023-12-29 | 2024-12-29 | 440.83 | 810123*******8460 |
| 1061 | 王*光 | 430624********7318 | 40,000.00 | 40,000.00 | 2023-11-30 | 2024-11-30 | 352.67 | 810123*******2033 |
| 1062 | 王*祥 | 430624********7354 | 30,000.00 | 30,000.00 | 2023-10-08 | 2024-10-08 | 264.50 | 810123*******0477 |
| 1063 | 王*龙 | 430624********7311 | 40,000.00 | 40,000.00 | 2023-09-29 | 2024-09-29 | 352.67 | 810123*******1998 |
| 1064 | 王*于 | 430624********7315 | 40,000.00 | 40,000.00 | 2023-12-01 | 2024-12-01 | 352.67 | 810123*******0524 |
| 1065 | 吴*波 | 430624********7332 | 50,000.00 | 50,000.00 | 2023-12-25 | 2024-12-25 | 440.83 | 810123*******0546 |
| 1066 | 吴*平 | 430624********7333 | 40,000.00 | 40,000.00 | 2023-12-30 | 2024-12-30 | 352.67 | 810123*******8863 |
| 1067 | 吴*华 | 430624********671X | 50,000.00 | 50,000.00 | 2023-12-21 | 2024-12-21 | 440.83 | 810123*******6220 |
| 1068 | 吴* | 430624********7310 | 50,000.00 | 50,000.00 | 2023-12-28 | 2024-12-28 | 440.83 | 810123*******9841 |
| 1069 | 吴*坤 | 430624********7337 | 50,000.00 | 50,000.00 | 2023-12-30 | 2024-12-30 | 440.83 | 810123*******1299 |
| 1070 | 杨*良 | 430624********7310 | 50,000.00 | 50,000.00 | 2023-11-08 | 2024-11-08 | 440.83 | 810123*******1391 |
| 1071 | 杨* | 430624********7323 | 40,000.00 | 40,000.00 | 2023-12-27 | 2024-12-27 | 352.67 | 810123*******7403 |
| 1072 | 杨*祥 | 430624********735X | 40,000.00 | 40,000.00 | 2023-12-26 | 2024-12-26 | 352.67 | 810123*******1448 |
| 1073 | 杨* | 430624********7331 | 40,000.00 | 40,000.00 | 2023-11-02 | 2024-11-02 | 352.67 | 810123*******1379 |
| 1074 | 张*良 | 430624********6712 | 50,000.00 | 50,000.00 | 2024-02-26 | 2025-02-26 | 440.83 | 810123*******6461 |
| 1075 | 张*明 | 430624********6715 | 50,000.00 | 50,000.00 | 2023-12-20 | 2024-12-20 | 440.83 | 810123*******7090 |
| 1076 | 张*兴 | 430624********7314 | 40,000.00 | 40,000.00 | 2023-12-22 | 2024-12-22 | 352.67 | 810123*******1735 |
| 1077 | 周*红 | 430624********7320 | 50,000.00 | 50,000.00 | 2023-12-21 | 2024-12-21 | 440.83 | 810123*******6795 |
| 1078 | 陈*良 | 430624********0533 | 50000 | 50000 | 20230830 | 20240830 | 435.00 | 810123*******6247 |
| 1079 | 马* | 430624********3033 | 20,000.00 | 20,000.00 | 2023-12-22 | 2025-12-22 | 205.83 | 810123*******7218 |
| 1080 | 周* | 430624********3035 | 20,000.00 | 20,000.00 | 2023-10-09 | 2024-10-09 | 182.08 | 810123*******5082 |
| 1081 | 杨*钟 | 430624********3051 | 30,000.00 | 30,000.00 | 2023-11-29 | 2025-11-29 | 308.75 | 810123*******5162 |
| 1082 | 汪*良 | 430624********8559 | 30,000.00 | 30,000.00 | 2023-11-23 | 2025-11-23 | 308.75 | 810123*******6074 |
| 1083 | 戴*良 | 430624********9358 | 30,000.00 | 30,000.00 | 2023-11-24 | 2025-11-24 | 308.75 | 810123*******0544 |
| 1084 | 吴*辉 | 430624********0088 | 30,000.00 | 30,000.00 | 2023-12-25 | 2025-12-25 | 308.75 | 810123*******8236 |
| 1085 | 韩*兵 | 430624********3017 | 30,000.00 | 30,000.00 | 2023-12-25 | 2025-12-25 | 308.75 | 810123*******5479 |
| 1086 | 张*平 | 430624********3016 | 30,000.00 | 30,000.00 | 2023-10-12 | 2024-10-12 | 273.13 | 810123*******6029 |
| 1087 | 汪* | 430624********3014 | 30,000.00 | 30,000.00 | 2023-10-12 | 2024-10-12 | 273.13 | 810123*******9523 |
| 1088 | 戴*昆 | 430624********3011 | 30,000.00 | 30,000.00 | 2023-10-12 | 2024-10-12 | 273.13 | 810123*******3663 |
| 1089 | 张*科 | 430624********3037 | 30,000.00 | 30,000.00 | 2023-09-25 | 2024-09-25 | 273.13 | 810123*******5650 |
| 1090 | 陈*辉 | 430624********3090 | 30,000.00 | 30,000.00 | 2023-12-16 | 2025-12-15 | 308.75 | 810123*******7261 |
| 1091 | 夏* | 430624********3054 | 30,000.00 | 30,000.00 | 2024-06-13 | 2026-06-13 | 288.96 | 810123*******7198 |
| 1092 | 刘* | 430624********302X | 30,000.00 | 30,000.00 | 2023-08-10 | 2024-08-10 | 281.04 | 810123*******4416 |
| 1093 | 甘* | 430624********3012 | 30,000.00 | 30,000.00 | 2023-07-13 | 2024-07-13 | 281.04 | 810123*******6872 |
| 1094 | 戴*航 | 430624********301X | 40,000.00 | 40,000.00 | 2024-03-06 | 2026-03-06 | 385.28 | 810123*******5571 |
| 1095 | 宋*成 | 430624********0034 | 40,000.00 | 40,000.00 | 2023-11-13 | 2025-11-13 | 411.67 | 810123*******8159 |
| 1096 | 韦*良 | 430624********3017 | 40,000.00 | 40,000.00 | 2023-11-03 | 2025-11-03 | 411.67 | 810123*******3448 |
| 1097 | 武*文 | 430624********0033 | 40,000.00 | 40,000.00 | 2023-10-30 | 2024-10-30 | 364.17 | 810123*******0790 |
| 1098 | 徐*明 | 430624********3011 | 40,000.00 | 40,000.00 | 2023-10-22 | 2024-10-22 | 364.17 | 810123*******3517 |
| 1099 | 田* | 430624********3012 | 40,000.00 | 40,000.00 | 2023-08-30 | 2024-08-30 | 364.17 | 810123*******8160 |
| 1100 | 胡* | 430624********401X | 40,000.00 | 40,000.00 | 2023-10-18 | 2024-10-18 | 364.17 | 810123*******0753 |
| 1101 | 徐*平 | 430624********3057 | 40,000.00 | 40,000.00 | 2023-10-12 | 2024-10-12 | 364.17 | 810123*******3460 |
| 1102 | 陈* | 430624********3083 | 40,000.00 | 40,000.00 | 2023-10-07 | 2024-10-07 | 364.17 | 810123*******4241 |
| 1103 | 柳*良 | 430624********3013 | 40,000.00 | 40,000.00 | 2023-10-11 | 2024-10-11 | 364.17 | 810123*******5090 |
| 1104 | 陈*根 | 430624********3016 | 45,000.00 | 45,000.00 | 2023-09-25 | 2024-09-25 | 409.69 | 810123*******7227 |
| 1105 | 夏*锋 | 430624********3018 | 50,000.00 | 49,887.91 | 2023-06-08 | 2024-06-08 | 481.60 | 810123*******4736 |
| 1106 | 徐*隆 | 430624********3012 | 50,000.00 | 50,000.00 | 2023-09-13 | 2024-09-13 | 455.21 | 810123*******3471 |
| 1107 | 王* | 430624********4016 | 50,000.00 | 50,000.00 | 2023-12-05 | 2025-12-05 | 514.58 | 810123*******1269 |
| 1108 | 蔡*良 | 430624********3019 | 50,000.00 | 50,000.00 | 2023-12-05 | 2025-12-05 | 514.58 | 810123*******5015 |
| 1109 | 陈* | 430624********3016 | 50,000.00 | 50,000.00 | 2023-12-07 | 2025-12-07 | 514.58 | 810123*******7114 |
| 1110 | 徐* | 430624********4016 | 50,000.00 | 50,000.00 | 2023-11-30 | 2025-11-30 | 514.58 | 810123*******8414 |
| 1111 | 石* | 430624********4029 | 50,000.00 | 50,000.00 | 2023-11-29 | 2025-11-29 | 514.58 | 810123*******8225 |
| 1112 | 戴*华 | 430624********3057 | 50,000.00 | 50,000.00 | 2023-11-27 | 2025-11-27 | 514.58 | 810123*******4340 |
| 1113 | 吴*飞 | 430624********3018 | 50,000.00 | 50,000.00 | 2023-11-23 | 2025-11-23 | 514.58 | 810123*******0957 |
| 1114 | 胡* | 430624********0032 | 50,000.00 | 50,000.00 | 2023-11-27 | 2025-11-27 | 514.58 | 810123*******9152 |
| 1115 | 马* | 430624********3059 | 50,000.00 | 50,000.00 | 2023-11-20 | 2025-11-20 | 514.58 | 810123*******6566 |
| 1116 | 张*建 | 430624********3031 | 50,000.00 | 50,000.00 | 2023-11-20 | 2025-11-20 | 514.58 | 810123*******5605 |
| 1117 | 胡*三 | 430624********3038 | 50,000.00 | 50,000.00 | 2023-11-16 | 2025-11-16 | 514.58 | 810123*******5344 |
| 1118 | 王* | 430624********9724 | 50,000.00 | 50,000.00 | 2023-11-16 | 2025-11-16 | 514.58 | 810123*******6696 |
| 1119 | 张*华 | 430624********3022 | 50,000.00 | 50,000.00 | 2023-11-14 | 2025-11-14 | 514.58 | 810123*******8258 |
| 1120 | 孙*权 | 430624********3014 | 50,000.00 | 50,000.00 | 2023-11-16 | 2025-11-16 | 514.58 | 810123*******5300 |
| 1121 | 戴*良 | 430624********3019 | 50,000.00 | 50,000.00 | 2023-11-14 | 2025-11-14 | 514.58 | 810123*******3889 |
| 1122 | 郑*年 | 430624********3050 | 50,000.00 | 50,000.00 | 2023-11-13 | 2025-11-13 | 514.58 | 810123*******3346 |
| 1123 | 蒋*辉 | 430624********3013 | 50,000.00 | 50,000.00 | 2023-11-14 | 2025-11-14 | 514.58 | 810123*******3313 |
| 1124 | 陈* | 430624********301X | 50,000.00 | 50,000.00 | 2023-11-17 | 2025-11-17 | 514.58 | 810123*******4541 |
| 1125 | 阚*港 | 430624********4012 | 50,000.00 | 50,000.00 | 2023-09-08 | 2024-09-08 | 455.21 | 810123*******1504 |
| 1126 | 周* | 430624********4012 | 50,000.00 | 50,000.00 | 2023-09-07 | 2024-09-07 | 455.21 | 810123*******8269 |
| 1127 | 胡* | 430624********3053 | 50,000.00 | 50,000.00 | 2023-09-06 | 2024-09-06 | 455.21 | 810123*******1111 |
| 1128 | 朱*毅 | 430624********3017 | 50,000.00 | 50,000.00 | 2023-09-05 | 2024-09-05 | 455.21 | 810123*******6743 |
| 1129 | 段* | 430624********4018 | 50,000.00 | 50,000.00 | 2023-11-09 | 2025-11-09 | 514.58 | 810123*******8190 |
| 1130 | 唐*文 | 430624********3012 | 50,000.00 | 50,000.00 | 2024-02-26 | 2026-02-26 | 481.60 | 810123*******5491 |
| 1131 | 王*芝 | 430624********3024 | 50,000.00 | 50,000.00 | 2023-11-06 | 2025-11-06 | 514.58 | 810123*******4332 |
| 1132 | 戴*美 | 430624********3032 | 50,000.00 | 50,000.00 | 2023-11-03 | 2025-11-03 | 514.58 | 810123*******7093 |
| 1133 | 严*龙 | 430624********4051 | 50,000.00 | 50,000.00 | 2023-11-02 | 2025-11-02 | 514.58 | 810123*******5372 |
| 1134 | 李*波 | 430624********3036 | 50,000.00 | 50,000.00 | 2023-09-04 | 2024-09-04 | 455.21 | 810123*******9895 |
| 1135 | 熊*军 | 430624********3015 | 50,000.00 | 50,000.00 | 2023-10-31 | 2025-10-31 | 514.58 | 810123*******1633 |
| 1136 | 陈*锋 | 430624********3075 | 50,000.00 | 50,000.00 | 2023-12-29 | 2025-12-29 | 514.58 | 810123*******0094 |
| 1137 | 戴*松 | 430624********3010 | 50,000.00 | 50,000.00 | 2023-12-28 | 2025-12-28 | 514.58 | 810123*******5777 |
| 1138 | 杨* | 430624********3010 | 50,000.00 | 50,000.00 | 2023-10-26 | 2025-10-26 | 514.58 | 810123*******7908 |
| 1139 | 熊* | 430624********331X | 50,000.00 | 50,000.00 | 2023-12-26 | 2025-12-26 | 514.58 | 810123*******9365 |
| 1140 | 甘* | 430624********4035 | 50,000.00 | 50,000.00 | 2023-10-16 | 2024-10-16 | 455.21 | 810123*******2036 |
| 1141 | 张*武 | 430624********3010 | 50,000.00 | 50,000.00 | 2023-08-24 | 2024-08-24 | 455.21 | 810123*******3947 |
| 1142 | 钟*雄 | 430624********3011 | 50,000.00 | 50,000.00 | 2023-08-25 | 2024-08-25 | 455.21 | 810123*******4395 |
| 1143 | 张* | 430624********3015 | 50,000.00 | 50,000.00 | 2023-08-21 | 2024-08-21 | 468.40 | 810123*******6194 |
| 1144 | 杨* | 430624********4435 | 50,000.00 | 50,000.00 | 2023-08-14 | 2024-08-14 | 468.40 | 810123*******1449 |
| 1145 | 徐* | 430624********9773 | 50,000.00 | 50,000.00 | 2023-08-14 | 2024-08-14 | 468.40 | 810123*******6414 |
| 1146 | 彭*宏 | 430624********3011 | 50,000.00 | 50,000.00 | 2023-12-23 | 2025-12-23 | 514.58 | 810123*******6483 |
| 1147 | 杨*龙 | 430624********3014 | 50,000.00 | 50,000.00 | 2023-12-21 | 2025-12-21 | 514.58 | 810123*******1372 |
| 1148 | 张* | 430624********3017 | 50,000.00 | 50,000.00 | 2023-10-09 | 2024-10-09 | 455.21 | 810123*******0822 |
| 1149 | 段*月 | 430624********3071 | 50,000.00 | 50,000.00 | 2023-06-27 | 2024-06-27 | 468.40 | 810123*******0108 |
| 1150 | 黎*军 | 430624********3012 | 50,000.00 | 50,000.00 | 2023-12-19 | 2025-12-19 | 514.58 | 810123*******3856 |
| 1151 | 杨*罗 | 430624********307X | 50,000.00 | 50,000.00 | 2023-12-18 | 2025-12-18 | 514.58 | 810123*******6971 |
| 1152 | 易*广 | 430624********3137 | 50,000.00 | 50,000.00 | 2023-12-19 | 2025-12-19 | 514.58 | 810123*******3153 |
| 1153 | 黎*华 | 430624********3022 | 50,000.00 | 50,000.00 | 2023-09-27 | 2024-09-27 | 455.21 | 810123*******6635 |
| 1154 | 夏*丰 | 430624********3018 | 50,000.00 | 50,000.00 | 2023-12-18 | 2025-12-18 | 514.58 | 810123*******4757 |
| 1155 | 王* | 430624********3030 | 50,000.00 | 50,000.00 | 2023-09-18 | 2024-09-18 | 455.21 | 810123*******5752 |
| 1156 | 杨* | 430624********8933 | 50,000.00 | 50,000.00 | 2024-01-05 | 2026-01-05 | 514.58 | 810123*******0651 |
| 1157 | 张*丽 | 430624********3028 | 50,000.00 | 50,000.00 | 2023-12-31 | 2025-12-31 | 514.58 | 810123*******3392 |
| 1158 | 黎*文 | 430624********3055 | 50,000.00 | 50,000.00 | 2024-05-06 | 2026-05-06 | 481.60 | 810123*******7240 |
| 1159 | 陈* | 430624********3019 | 50,000.00 | 50,000.00 | 2023-08-09 | 2024-08-09 | 468.40 | 810123*******7752 |
| 1160 | 朱* | 430624********3015 | 50,000.00 | 50,000.00 | 2023-08-08 | 2024-08-08 | 468.40 | 810123*******6891 |
| 1161 | 蔡* | 430624********3019 | 50,000.00 | 50,000.00 | 2023-08-09 | 2024-08-08 | 468.40 | 810123*******2308 |
| 1162 | 陈*光 | 430624********301X | 50,000.00 | 50,000.00 | 2023-08-01 | 2024-08-01 | 468.40 | 810123*******7090 |
| 1163 | 邹*华 | 430624********3028 | 50,000.00 | 50,000.00 | 2023-07-07 | 2024-07-07 | 468.40 | 810123*******2909 |
| 1164 | 陈*新 | 430624********3016 | 50,000.00 | 50,000.00 | 2023-07-06 | 2024-07-06 | 468.40 | 810123*******7205 |
| 1165 | 李*军 | 430624********3011 | 50,000.00 | 50,000.00 | 2024-06-05 | 2026-06-05 | 481.60 | 810123*******4511 |
| 1166 | 张* | 430624********3015 | 50,000.00 | 50,000.00 | 2024-05-31 | 2026-05-31 | 481.60 | 810123*******7230 |
| 1167 | 李*军 | 430624********3019 | 50,000.00 | 50,000.00 | 2024-05-27 | 2026-05-27 | 481.60 | 810123*******7158 |
| 1168 | 甘*明 | 430624********3169 | 50,000.00 | 50,000.00 | 2024-05-24 | 2026-05-24 | 481.60 | 810123*******9394 |
| 1169 | 钟* | 430624********402X | 50,000.00 | 50,000.00 | 2024-05-22 | 2026-05-22 | 481.60 | 810123*******0396 |
| 1170 | 兰*辉 | 430624********3827 | 30,000.00 | 30,000.00 | 2023-08-22 | 2024-08-22 | 273.13 | 810123*******9625 |
| 1171 | 胡*秋 | 430624********3034 | 40,000.00 | 40,000.00 | 2023-10-26 | 2025-10-26 | 411.67 | 810123*******4577 |
| 1172 | 何* | 430624********3012 | 50,000.00 | 50,000.00 | 2023-07-03 | 2024-07-03 | 468.40 | 810123*******4849 |
| 1173 | 张*庭 | 430624********3016 | 50,000.00 | 50,000.00 | 2023-11-14 | 2025-11-14 | 514.58 | 810123*******4339 |
| 1174 | 黎*平 | 430624********3036 | 50,000.00 | 50,000.00 | 2023-11-16 | 2025-11-16 | 514.58 | 810123*******3754 |
| 1175 | 杨*强 | 430624********3037 | 50,000.00 | 50,000.00 | 2023-11-07 | 2025-11-07 | 514.58 | 810123*******1152 |
| 1176 | 汪*胜 | 430624********3031 | 50,000.00 | 50,000.00 | 2023-12-21 | 2025-12-21 | 514.58 | 810123*******8171 |
| 1177 | 兰*鸿 | 430624********9737 | 50,000.00 | 50,000.00 | 2023-12-18 | 2025-12-18 | 514.58 | 810123*******1515 |
| 1178 | 黎*军 | 430624********3033 | 50,000.00 | 50,000.00 | 2024-01-05 | 2026-01-05 | 514.58 | 810123*******3812 |
| 1179 | 谢*江 | 430624********4056 | 50,000.00 | 50,000.00 | 2023-06-05 | 2024-06-05 | 481.60 | 810123*******7728 |
| 1180 | 甘*云 | 430624********3036 | 50,000.00 | 50,000.00 | 2023-07-20 | 2024-07-20 | 468.40 | 810123*******4838 |
| 1181 | 范*良 | 430624********301X | 50,000.00 | 50,000.00 | 2023-07-26 | 2024-07-26 | 468.40 | 810123*******3496 |
| 1182 | 陈* | 430624********3018 | 50,000.00 | 50,000.00 | 2023-07-06 | 2024-07-06 | 468.40 | 810123*******7294 |
| 1183 | 倪* | 430624********3014 | 50,000.00 | 50,000.00 | 2023-07-21 | 2024-07-21 | 468.40 | 810123*******1826 |
| 1184 | 彭*海 | 430624********9836 | 50,000.00 | 50,000.00 | 45089 | 45455 | 481.60 | 810123*******4699 |
| 合计 | 489972.45 | |||||||