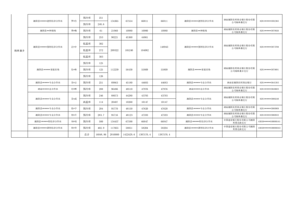
湘阴县2024年农产品产地冷藏保鲜设施建设项目奖补资金明细公示(第二批)
来源:
湘阴县农业农村局
发布时间:
2024-12-05 10:46
浏览次数:
1
根据湖南省农业农村厅关于下达2024年度中央财政衔接推进乡村振兴补助资金(巩固拓展脱贫攻坚成果和乡村振兴任务)计划的通知》(湘农发﹝2024﹞42号)文件要求,按照湘阴县农业农村局《关于印发<2024年农产品产地冷藏保鲜设施建设实施方案>的通知>>湘阴农发〔2024〕24号文件精神,我局联合县财政等部门,聘请湖南省农产品产地冷藏保鲜设施建设专家组2名专家组成联合验收组,现将验收情况及第二批资金拨付明细公示如下。(公示时间12月5日至12月18日)
公示时期公示期间如有异议,请向县农业农村局反映(0730-2115662),逾期不受理。
湘阴县农业农村局
2024年12月5日

