湘阴县人民政府 住房和城乡建设局
政府信息公开
政府信息公开指南
法定主动公开内容
机构概况
通知公告
部门文件
人事信息
规划计划
财政预决算
信息公开年度报告
依 申 请公 开
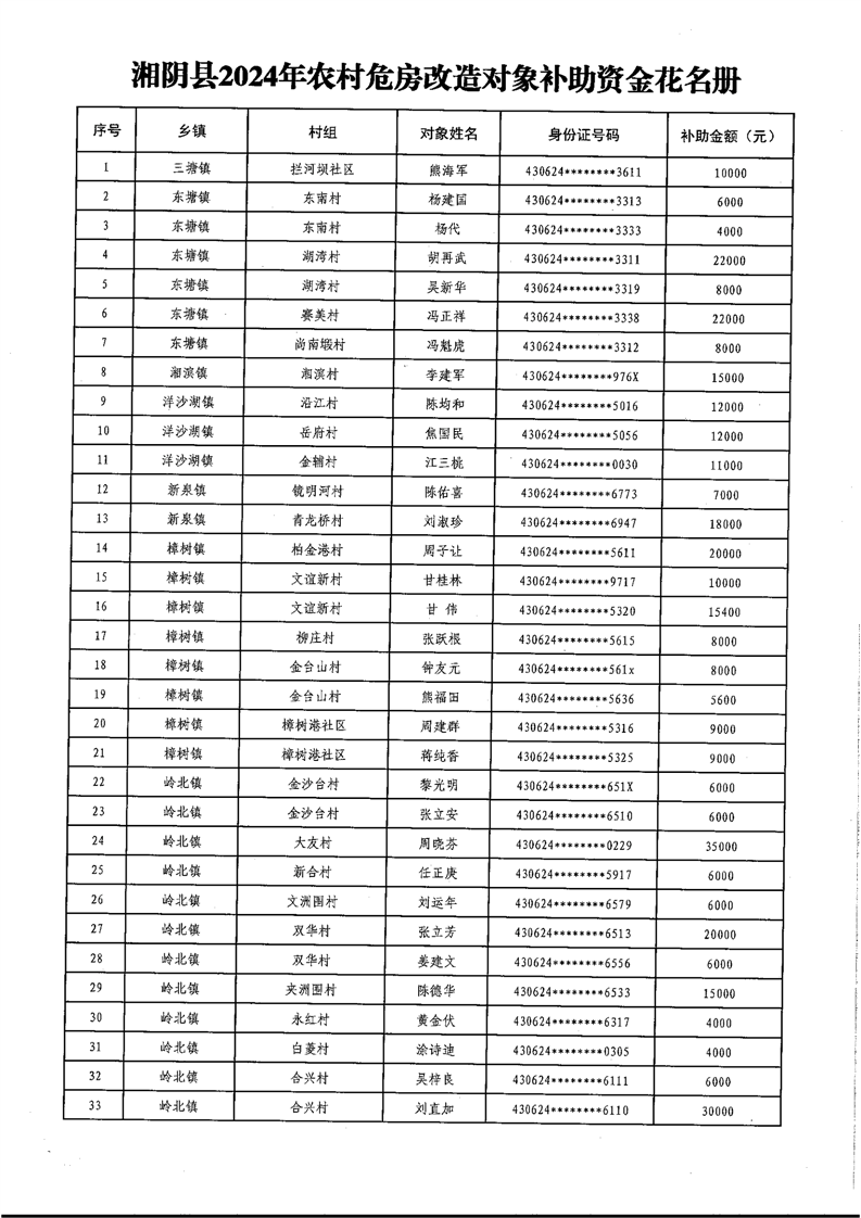
关于对湘阴县2024年农村危房改造对象补助资金的公示
来源: 湘阴县住房和城乡建设局
发布时间: 2024-12-05 16:41
浏览次数:
1