归档时间:2024-07-15
湘阴县人民政府 县人民政府工作部门
政府信息公开
县人民政府办公室
法定主动公开内容
教育局
科学技术局
工业和信息化局
公安局
民政局
司法局
人力资源和社会保障局
自然资源局
住房和城乡建设局
交通运输局
农业农村局
商务粮食局
文化旅游广电体育局
卫生健康局
审计局
应急管理局
市场监督管理局
统计局
行政审批服务局
水利局
发展和改革局
依 申 请公 开
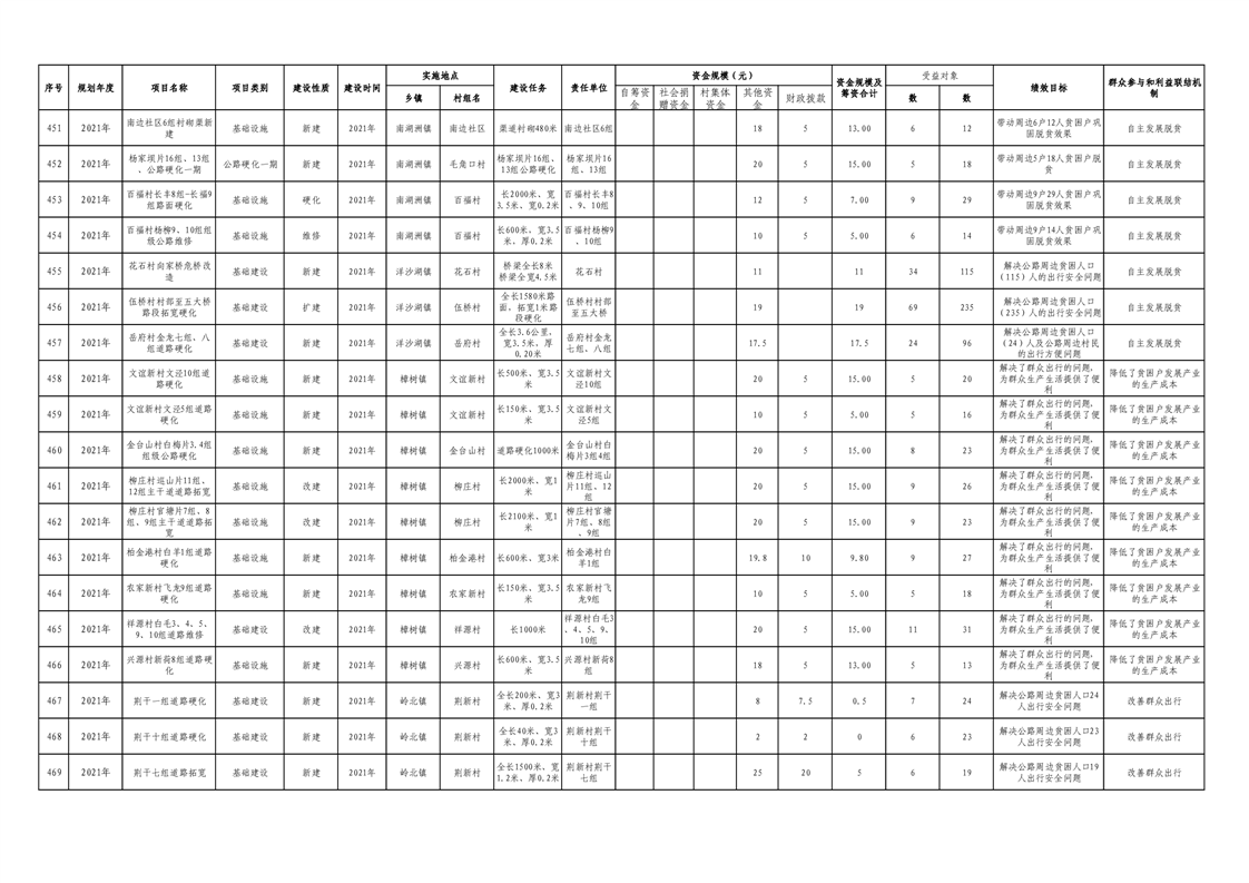
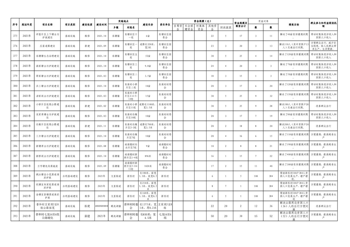
湘阴县2021年巩固拓展脱贫攻坚成果和乡村振兴项目入库(新)
来源: 湘阴县扶贫办
发布时间: 2021-11-30 17:17
浏览次数:
1