湘阴县人民政府 林业局
政府信息公开
政府信息公开指南
法定主动公开内容
机构概况
部门文件
工作规划
人事信息
财政预决算
办事服务
信息公开年度报告
依 申 请公 开
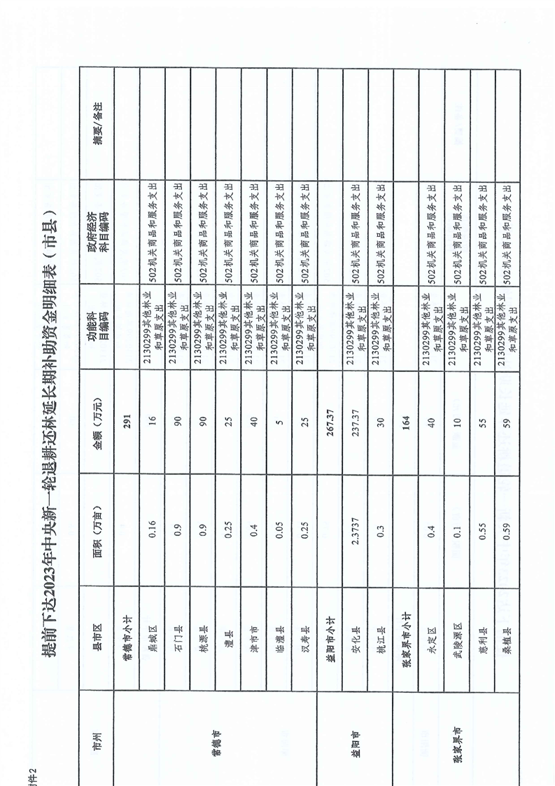
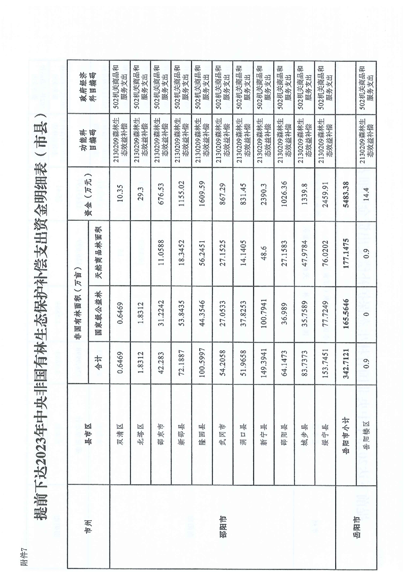
湖南省财政厅关于提前下达2023年中央林业改革发展资金(市县部分)的通知
来源: 湘阴县林业局
发布时间: 2023-01-06 08:54
浏览次数:
1