归档时间:2024-07-15
湘阴县人民政府
政府信息公开
法定主动公开内容
依 申 请公 开
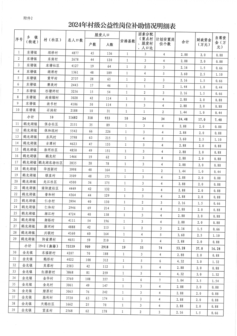
关于下达2024年县级财政衔接推进乡村振兴补助资金项目(公益性岗位)计划的通 知(湘阴委振组发﹝2024﹞3号)
来源: 湘阴县乡村振兴局
发布时间: 2024-03-28 16:14
浏览次数:
1