湘阴县2024年农产品产地冷藏保鲜设施建设项目奖补资金明细公示(第二批)
详细信息
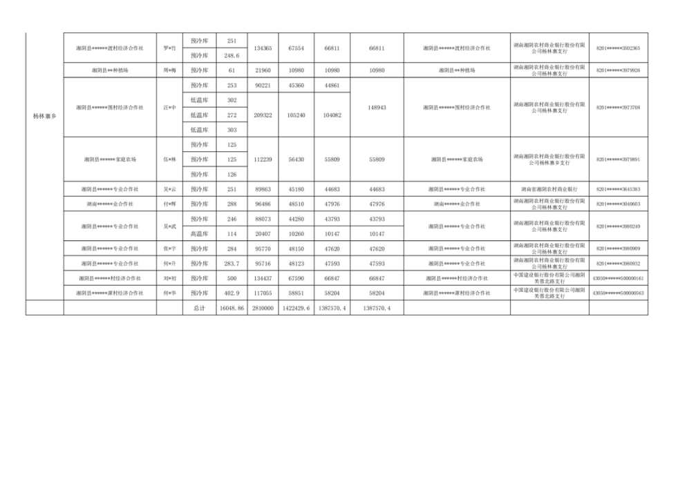
| 公开具体内容 |
根据湖南省农业农村厅关于下达2024年度中央财政衔接推进乡村振兴补助资金(巩固拓展脱贫攻坚成果和乡村振兴任务)计划的通知》(湘农发﹝2024﹞42号)文件要求,按照湘阴县农业农村局《关于印发<2024年农产品产地冷藏保鲜设施建设实施方案>的通知>>湘阴农发〔2024〕24号文件精神,我局联合县财政等部门,聘请湖南省农产品产地冷藏保鲜设施建设专家组2名专家组成联合验收组,现将验收情况及第二批资金拨付明细公示如下。(公示时间12月5日至12月18日) 公示时期公示期间如有异议,请向县农业农村局反映(0730-2115662),逾期不受理。 湘阴县农业农村局 2024年12月5日
|
||
基本信息
| 所属领域 | 乡村振兴 | ||
| 一级事项 | 巩固拓展脱贫攻坚成果同乡村振兴项目 | 二级事项 | 年度计划 |
| 公开时限 | 信息形成(变更)20个工作日内 | 公开方式 | 主动 |
| 公开依据 | 《国务院扶贫办、财政部关于完善扶贫资金项目公告公示制度的指导意见》 | ||
| 公开主体 | 湘阴县农业农村局 | ||
| 公开层级1 | 县级 | 公开渠道和载体 | 政府网站 |
| 公开层级2 | 乡、村级 | 公开渠道和载体 | 社区、企事业单位、村公示栏(电子屏) |
- 详细信息
- 基本信息

