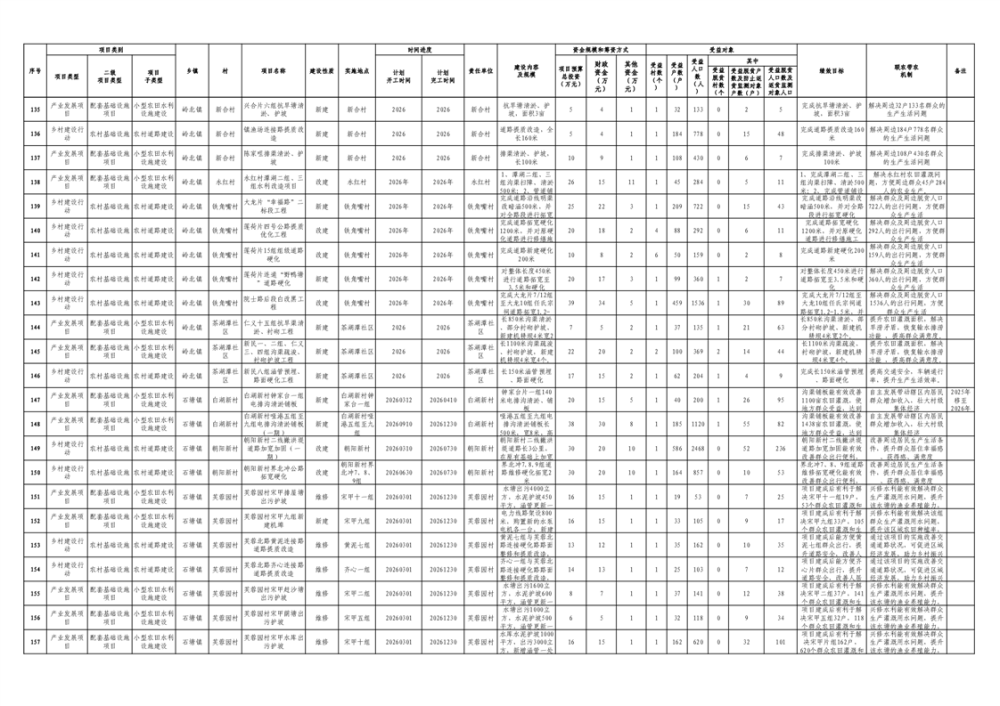
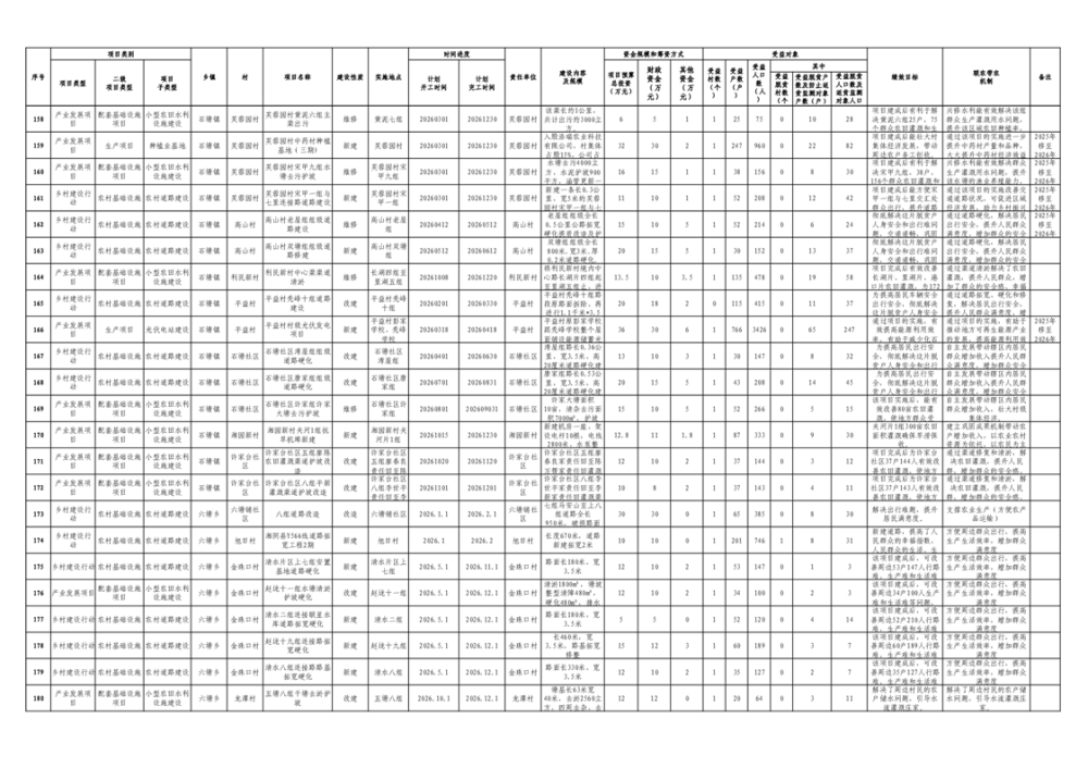
关于下达2026年度巩固拓展脱贫攻坚成果和乡村振兴项目计划的通知
详细信息
| 公开具体内容 |
|
||
基本信息
| 所属领域 | 乡村振兴 | ||
| 一级事项 | 巩固拓展脱贫攻坚成果同乡村振兴项目 | 二级事项 | 年度计划 |
| 公开时限 | 信息形成(变更)20个工作日内 | 公开方式 | 主动 |
| 公开依据 | 《国务院扶贫办、财政部关于完善扶贫资金项目公告公示制度的指导意见》 | ||
| 公开主体 | 湘阴县农业农村局 | ||
| 公开层级1 | 县级 | 公开渠道和载体 | 政府网站 |
| 公开层级2 | 乡、村级 | 公开渠道和载体 | 社区、企事业单位、村公示栏(电子屏) |
- 详细信息
- 基本信息
























