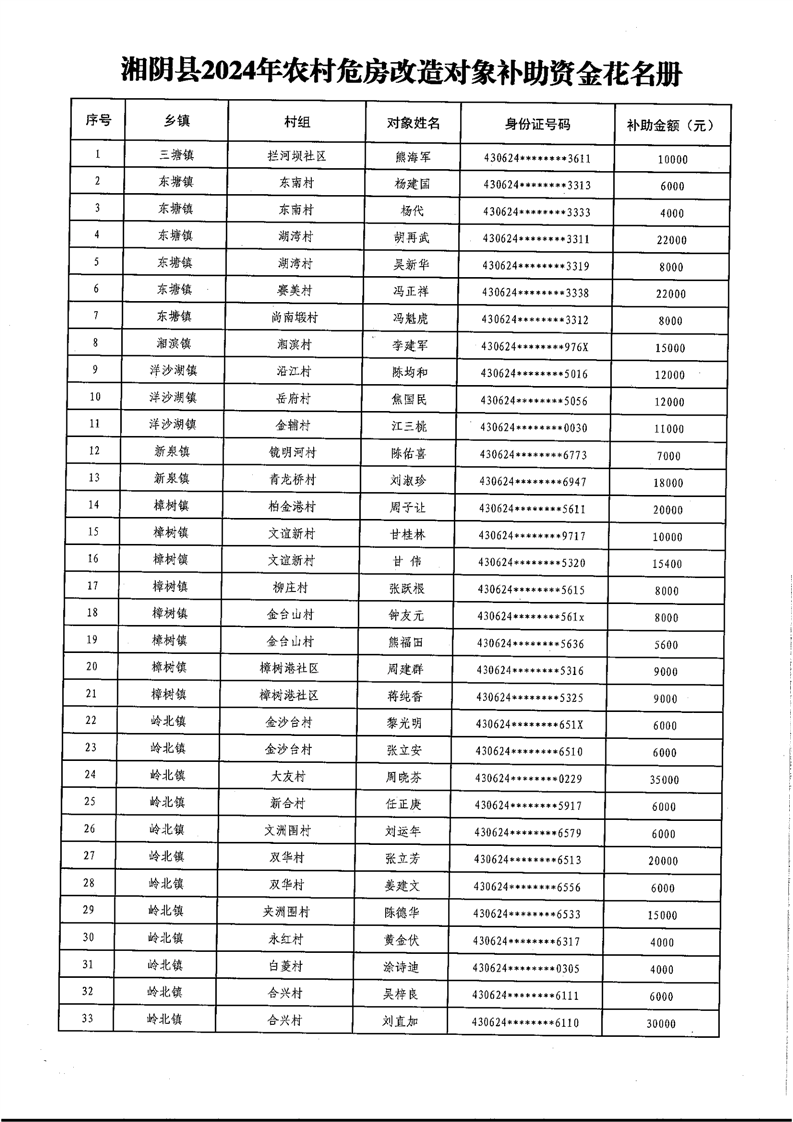
关于对湘阴县2024年农村危房改造对象补助资金的公示
详细信息
| 公开具体内容 |
![]() ![]()
|
||
基本信息
| 所属领域 | 农村危房改造 | ||
| 一级事项 | 对象认定 | 二级事项 | 认定结果 |
| 公开时限 | 信息形成之日起20个工作日内 | 公开方式 | 主动 |
| 公开依据 | 《预算法》、《政府信息公开条例》、《住房城乡建设部 财政部关于印发农村危房改造脱贫攻坚三年行动方案的通知》、《住房城乡建设部 财政部 国务院扶贫办关于加强和完善建档立卡贫困户等重点对象农村危房改造若干问题的通知》等 | ||
| 公开主体 | 湘阴县住房和城乡建设局 | ||
| 公开层级1 | 乡、村级 | 公开渠道和载体 | 便民服务窗口等场所,公示栏等平台和办事大厅 |
- 详细信息
- 基本信息

