归档时间:2020-06-05
当前位置:
首页
>
重点领域信息公开
>
市场监管
>
检验监测
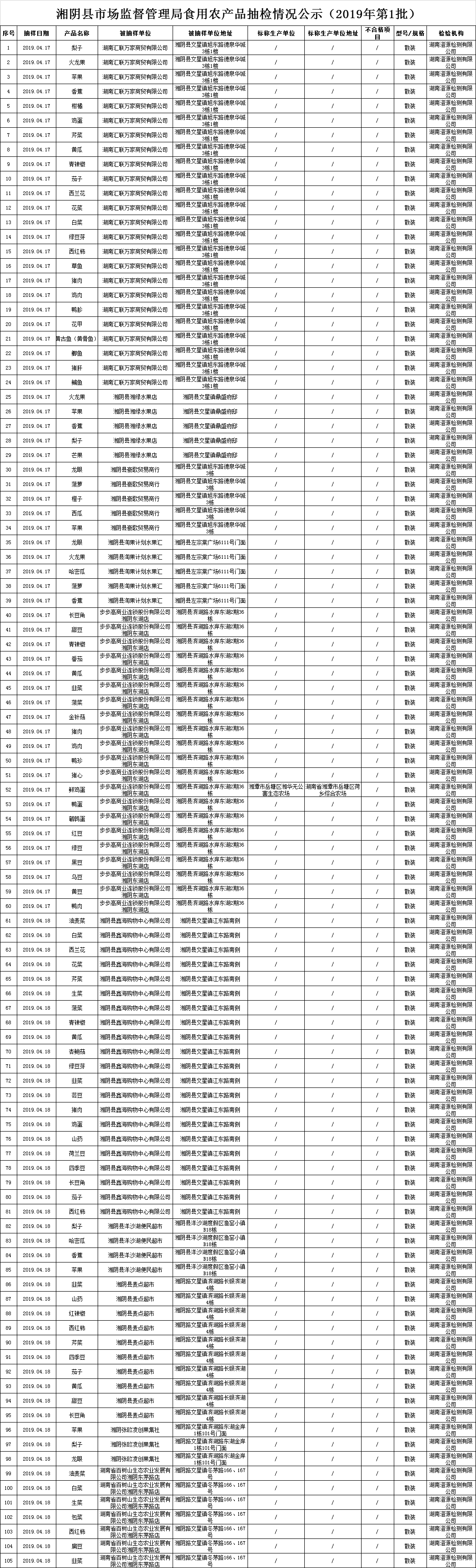
湘阴县市场监督管理局食用农产品抽检情况公示(2019年第1批)
来源:湘阴县政府网
2019-05-16 15:10
浏览量:
1
|
|
|
|