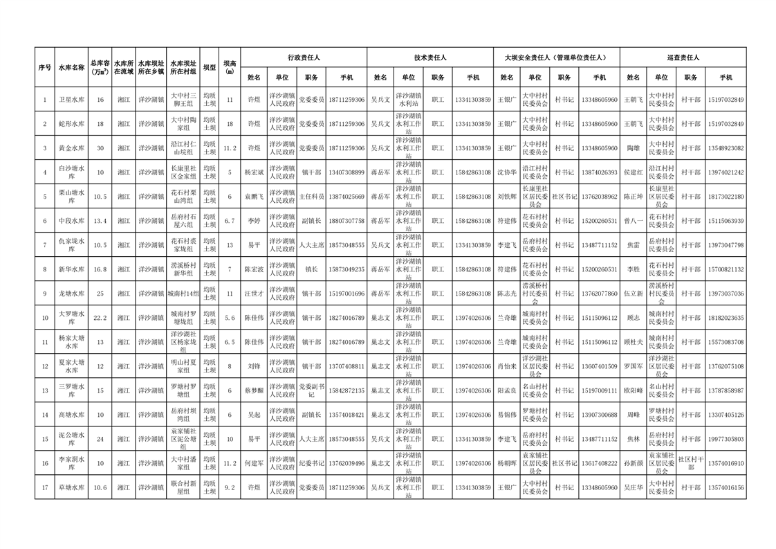
关于公布湘阴县小型水库大坝安全管理(防汛) 责任人名单的通知
来源:
湘阴县水利局
发布时间:
2022-03-31 16:49
浏览次数:
1
各有关工程管理单位:
为全面落实2022年度小型水库大坝安全责任制,保障工程安全运行,现将我县115座小型水库大坝安全管理(防汛)责任人名单予以公布。请相关单位抓紧开展宣传培训,保证各类责任人尽快熟悉职责要求和业务知识。各类责任人要迅速熟悉情况,掌握履职要求并及时认真履职,要坚持24小时打开已公布的联系电话,接受上级相关部门的履职抽查。
特此通知。
附件:湘阴县小型水库大坝安全管理(防汛)责任人名单





